Предмет: Алгебра,
автор: kossner
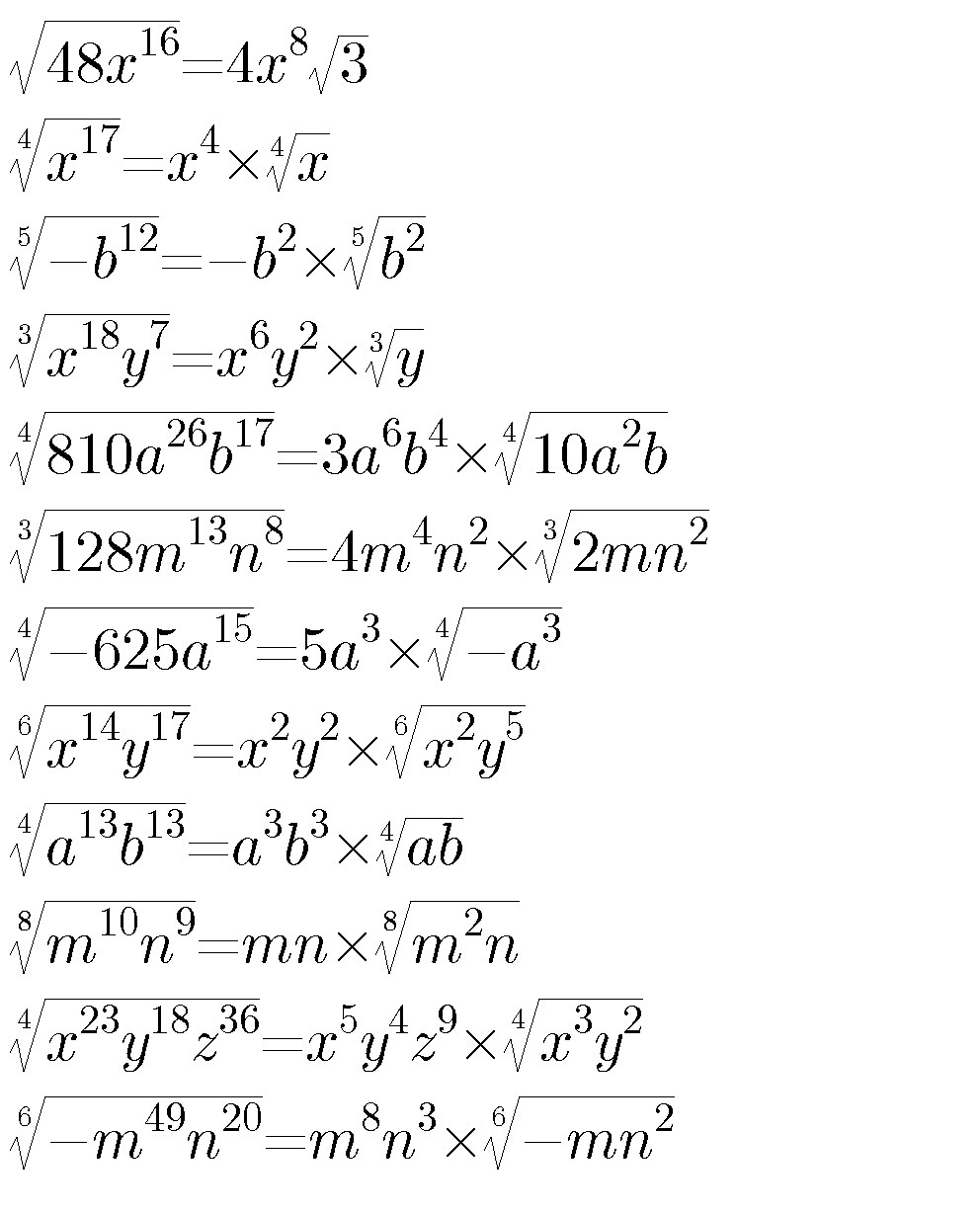
вынесите множитель из под знака корня
Приложения:
Ответы
Автор ответа:
0
Ответы на изображении (см. вложение)
Приложения:
Автор ответа:
0
А кнопку "Спасибо" слабо нажать? Или баллы отдавать неохота? Много вас таких, цену назначат нормальную, а потом платить отказываются. Ну ладно, я потихоньку заполняю свой "чёрный список" обманщиков.
Похожие вопросы
Предмет: Математика,
автор: nargiz11112009
Предмет: Математика,
автор: debil33250
Предмет: Информатика,
автор: danekama
Предмет: Математика,
автор: olgabelozerova26
Предмет: Обществознание,
автор: ybrffggg