Предмет: Математика,
автор: cvetlana171
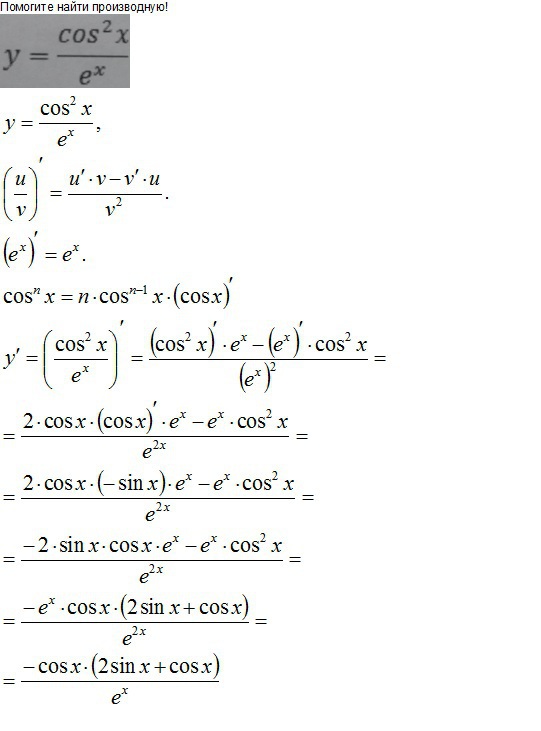
Помогите найти производную!
Приложения:
Ответы
Автор ответа:
0
решение во вложении------------------
Приложения:
Похожие вопросы
Предмет: Математика,
автор: valentinavalentina79
Предмет: Математика,
автор: asikodavtyan
Предмет: Математика,
автор: faridagarova0
Предмет: Алгебра,
автор: belka6153mailr
Предмет: Геометрия,
автор: zerald1234