Предмет: Математика,
автор: ПИНАЮТРУСЫ
Номер 441, 4 и 5 примеры, заранее большое человеческое спасибо.
Приложения:
Ответы
Автор ответа:
0
.................................
Приложения:
Автор ответа:
0
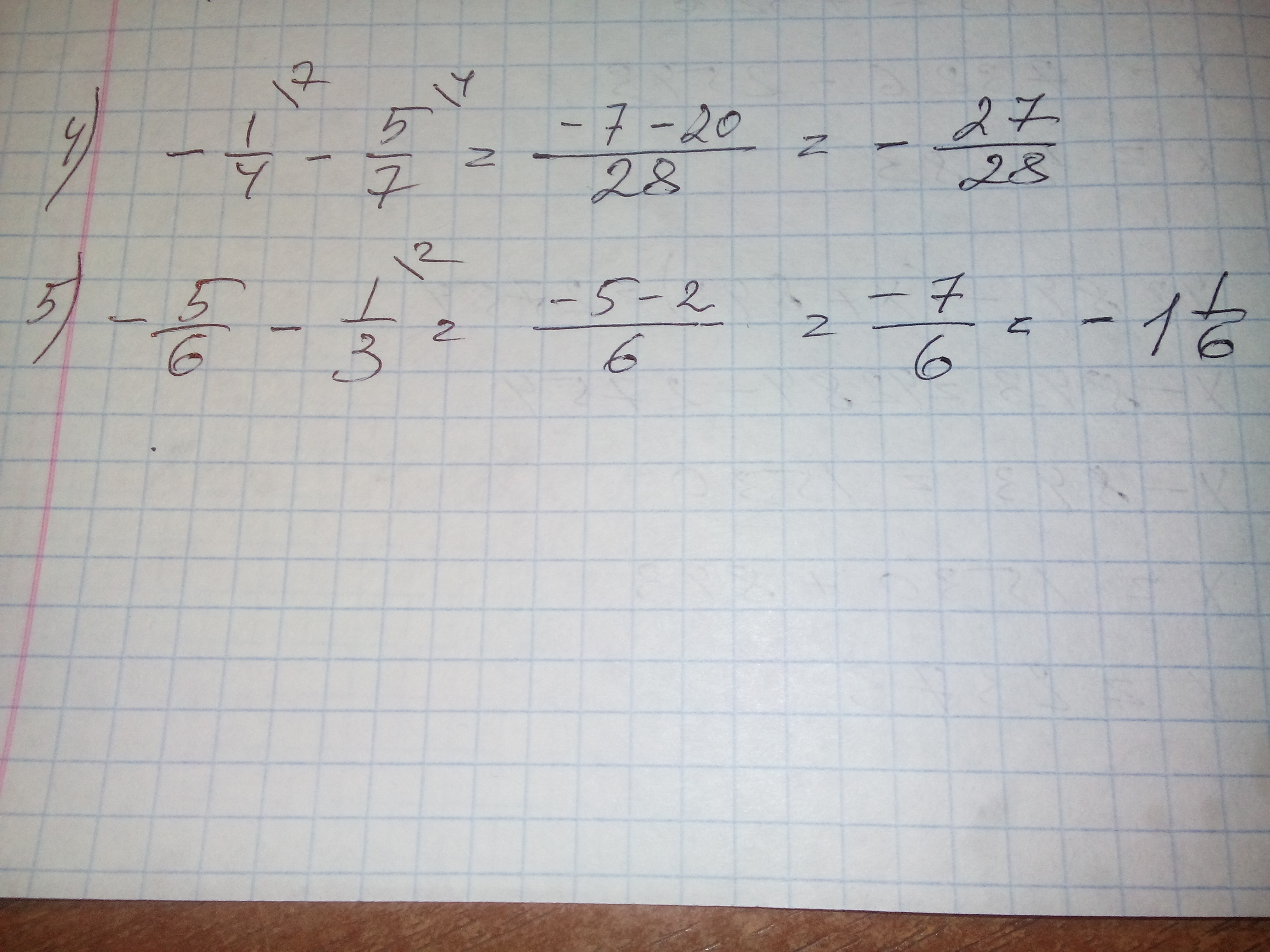
4)-1/4-5/7
приводим к общему знаменателю
общий знаменатель:28
теперь находи общий множитель у 1 будет множитель 7,а у 5 будет множитель 4
тогда получаются дроби: -7/28-20/28=-27/28
5)-5/6-1/3
тут почти все тоже как в 4 примере:
общей знаменатель:6
тогда получается дроби:-5/6-2/6=-7/6
приводим к общему знаменателю
общий знаменатель:28
теперь находи общий множитель у 1 будет множитель 7,а у 5 будет множитель 4
тогда получаются дроби: -7/28-20/28=-27/28
5)-5/6-1/3
тут почти все тоже как в 4 примере:
общей знаменатель:6
тогда получается дроби:-5/6-2/6=-7/6
Приложения:
Похожие вопросы
Предмет: История,
автор: Karina20055005
Предмет: Математика,
автор: muhabbathonkarimova4
Предмет: Математика,
автор: pancrrevaorina1p7
Предмет: Алгебра,
автор: kidman9
Предмет: Алгебра,
автор: makarovadaryam