Предмет: Алгебра,
автор: Аноним
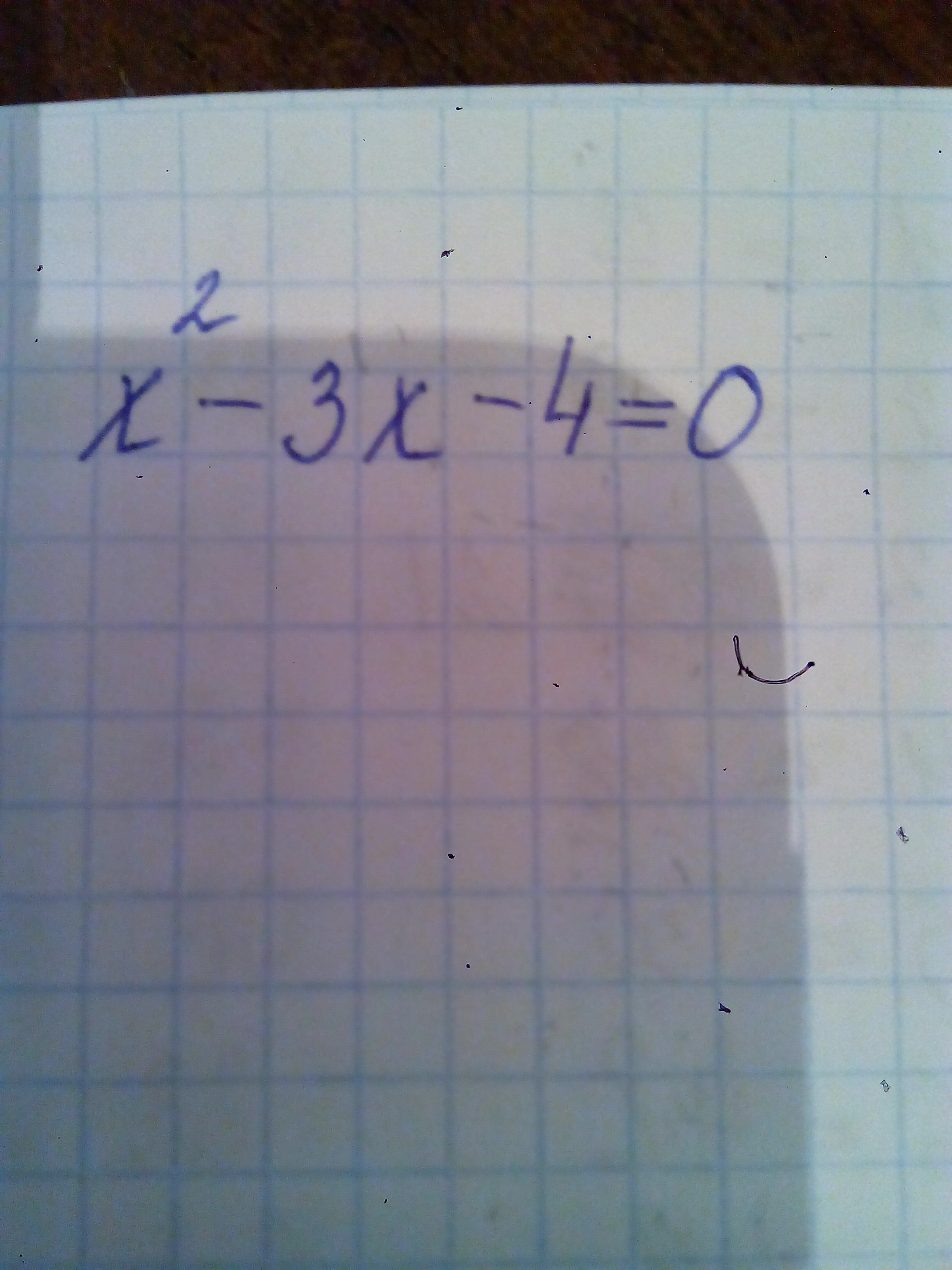
Сделайте по дискриминанту,даю 30 бало,и можно понятней,так как зарегалась только
Приложения:
Ответы
Автор ответа:
0
Тут можно и без дискриминанта, по теореме Виета . Но раз надо по дискриминанту - пожалуйста.
Приложения:
Автор ответа:
0
Сделаешь уравнение пожалуйста?
Похожие вопросы
Предмет: Математика,
автор: MorgenshternGANG
Предмет: Математика,
автор: Аноним
Предмет: Українська мова,
автор: 0n1b1za1337
Предмет: Литература,
автор: petrglakiy2006
Предмет: Обществознание,
автор: z89221257576