Предмет: Математика,
автор: настя4846
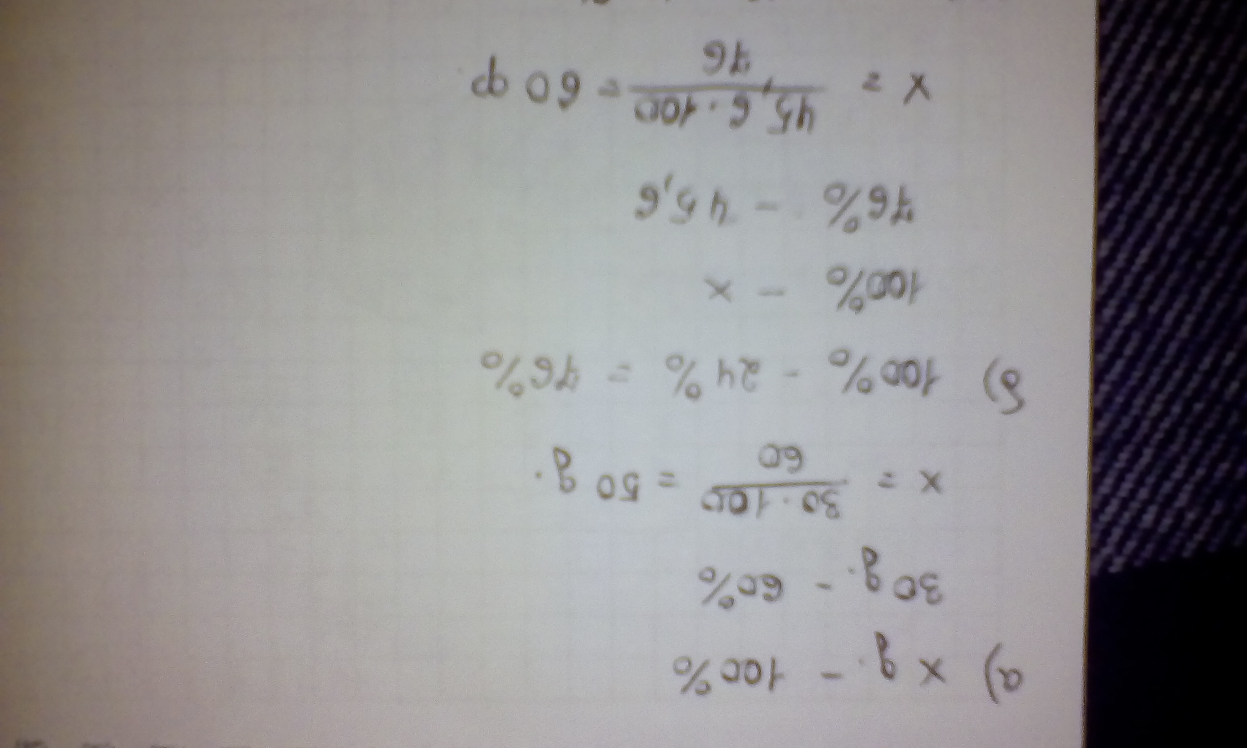
помогите решить номер 230 а , б и 231 а,б зарание огромное спасибо
Приложения:
Ответы
Автор ответа:
0
230 номер, если что-то не понятно, пиши, я объясню)
Приложения:
Похожие вопросы
Предмет: Геометрия,
автор: doropot818
Предмет: Математика,
автор: shotbakovs
Предмет: Математика,
автор: loocc5150
Предмет: Алгебра,
автор: ermakovaangelina
Предмет: Обществознание,
автор: asmyslova