Предмет: Алгебра,
автор: akhmedlielshan
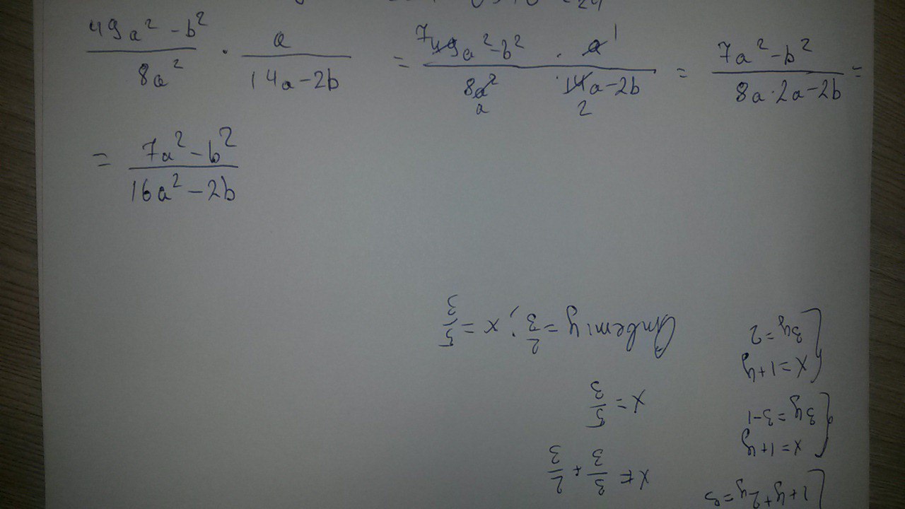
выполните умножение
Приложения:
Ответы
Автор ответа:
0
0,,,,,,,,,,,,,,,,,,,,,,,,,,,,,,,,,,,,,,,,,,,,,,,,,,,,,,,,,,,,,,,,,,
Приложения:
Автор ответа:
0
........................................
Приложения:
Похожие вопросы
Предмет: Биология,
автор: jdjdgsj
Предмет: Биология,
автор: shapochkanikita333
Предмет: Английский язык,
автор: YagamiLayth
Предмет: Математика,
автор: juliabelaya2014
Предмет: Литература,
автор: ivanpestov98