Предмет: Алгебра,
автор: ИзяславКотик
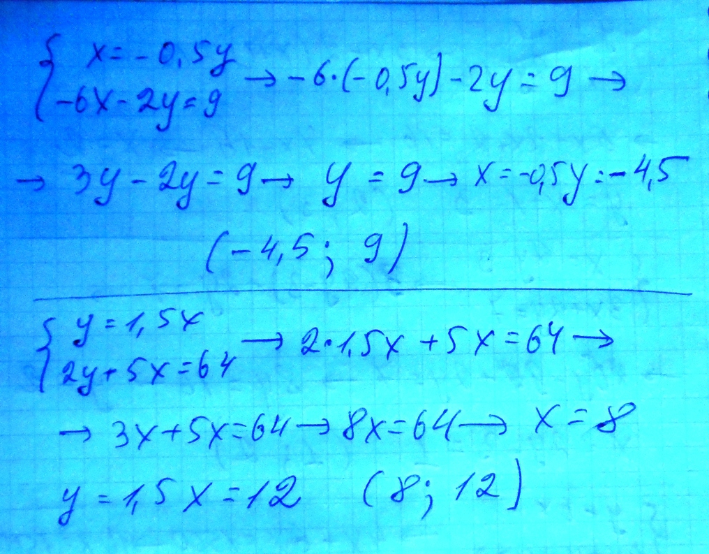
Решите систему уравнений методом подстановки. (12.2 в,г; 12.3 в,г;12,4 в,г)
Пожалуйста, если не сложно, то распишите всё, а то меня не было на этой теме.
Приложения:
Ответы
Автор ответа:
0
!!!!!!!!!!!!!!!!!!!!!!!!!!!!!!!!!!!!
Приложения:
Похожие вопросы
Предмет: Литература,
автор: ristikol2010
Предмет: Математика,
автор: veneraeldarkyzy
Предмет: Математика,
автор: sevaviki
Предмет: Физика,
автор: FastGamer