Предмет: Алгебра,
автор: riotzone
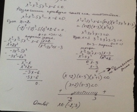
ответ (-2;3) нужно само решение.
Приложения:
Ответы
Автор ответа:
0
Решение представлен на картинке
Приложения:
Похожие вопросы
Предмет: Английский язык,
автор: alisadg
Предмет: Қазақ тiлi,
автор: iparamrazhanovna2008
Предмет: Математика,
автор: assasinaltair2010
Предмет: Геометрия,
автор: Ledi999
Предмет: Литература,
автор: Аноним