Предмет: Математика,
автор: alenaosipova984
Помогите пожалуйста решить систему неравенств!!!
Приложения:
Ответы
Автор ответа:
0
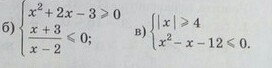
Б)
{ x^2+2x-3>=0
{ (x+3)/(x-2)<=0
Разложим на множители
{ (x+3)(x-1)>=0
{ (x+3)/(x-2)<=0
По методу интервалов
{ x€(-oo; -3]U[1;+oo)
{ x€[-3;2)
Ответ: x€[3]U[1;2)
В)
{ |x|>=4
{ x^2-x-12<=0
Разложим на множители
{ |x|>=4
{ (x+3)(x-4)<=0
По методу интервалов
{ x€(-oo;-4]U[4;+oo)
{ x€[-3;4]
Ответ: [4] - одна точка.
{ x^2+2x-3>=0
{ (x+3)/(x-2)<=0
Разложим на множители
{ (x+3)(x-1)>=0
{ (x+3)/(x-2)<=0
По методу интервалов
{ x€(-oo; -3]U[1;+oo)
{ x€[-3;2)
Ответ: x€[3]U[1;2)
В)
{ |x|>=4
{ x^2-x-12<=0
Разложим на множители
{ |x|>=4
{ (x+3)(x-4)<=0
По методу интервалов
{ x€(-oo;-4]U[4;+oo)
{ x€[-3;4]
Ответ: [4] - одна точка.
Похожие вопросы
Предмет: История,
автор: saniy7933
Предмет: Русский язык,
автор: djumabaevaanelya
Предмет: История,
автор: Lihhhhhhhz
Предмет: Математика,
автор: Закир2002
Предмет: Математика,
автор: pers137888