Предмет: Математика,
автор: Rollersa
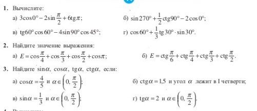
Помогите решить пожалуйста
Приложения:
Ответы
Автор ответа:
0
немножко запуталась с заданиями, часть 1 на второй странице,
Приложения:
Похожие вопросы
Предмет: Литература,
автор: 97700
Предмет: Другие предметы,
автор: ashimovailnara
Предмет: Физика,
автор: m07phantom
Предмет: Литература,
автор: Юля201411