Предмет: Математика,
автор: HalLigen228
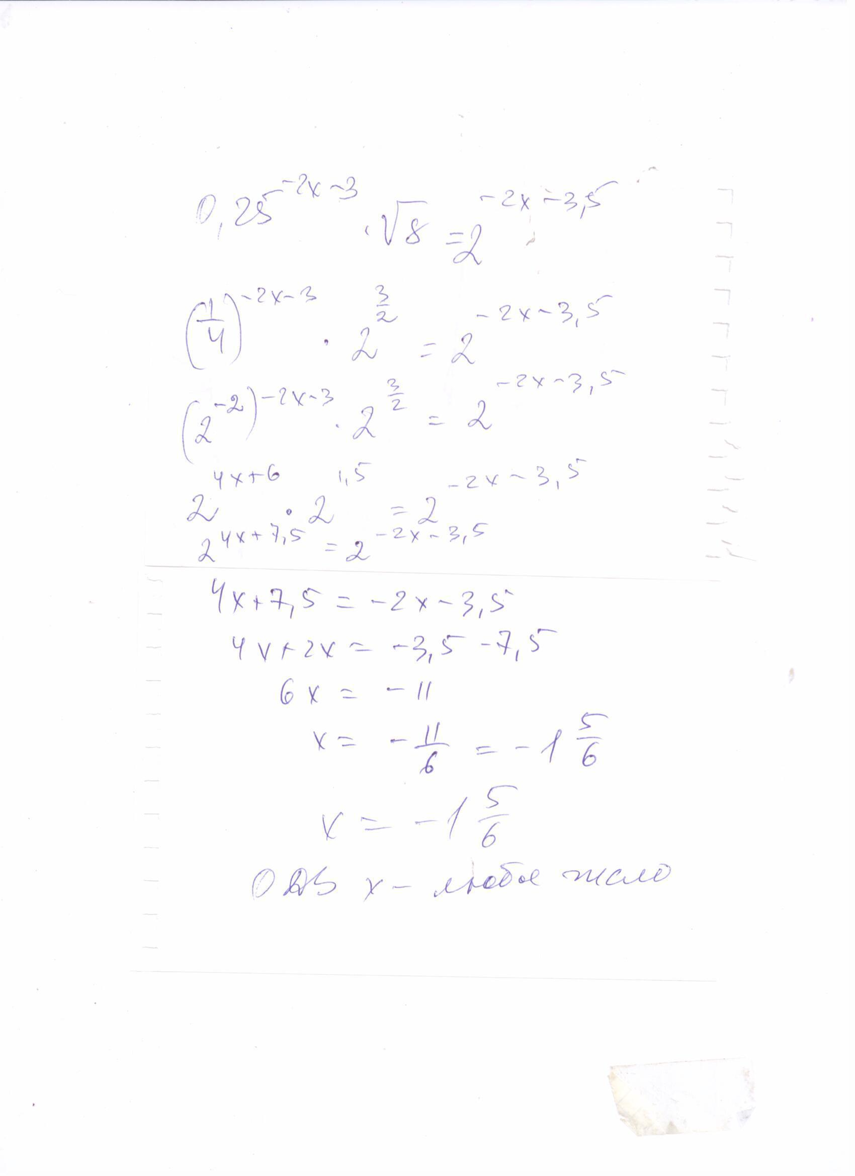
вычислите плиииз с логарифмом
Приложения:
Ответы
Автор ответа:
0
Решение смотри в приложении
Приложения:
Похожие вопросы
Предмет: Литература,
автор: angelinamain
Предмет: Математика,
автор: denysenkosvitlana133
Предмет: Математика,
автор: 9272761023mm
Предмет: Математика,
автор: jasik200073