Предмет: Алгебра,
автор: Kronk123
Помогите по Алгебре пожалуйста люди добрые
не могу решить просто :(
Приложения:
Ответы
Автор ответа:
0
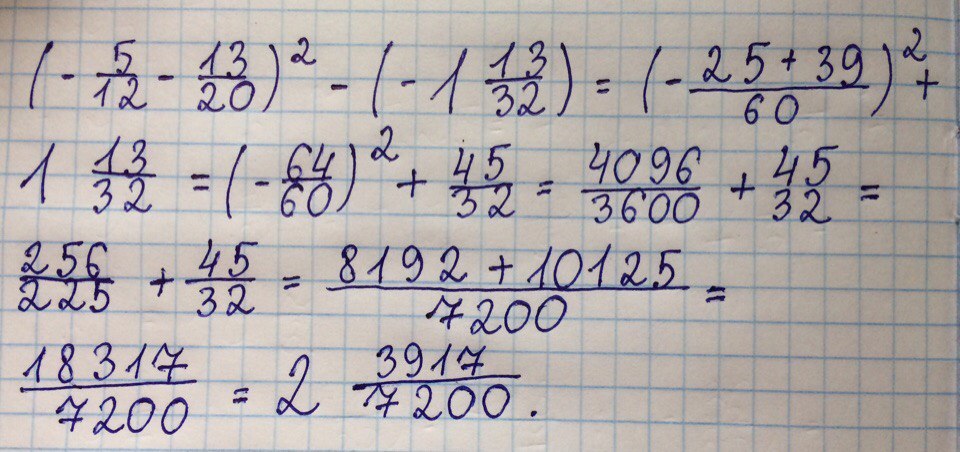
Ответ во вложении (фото)
Приложения:
Похожие вопросы
Предмет: Английский язык,
автор: tan1sa
Предмет: Математика,
автор: lucishinaelizaveta
Предмет: Алгебра,
автор: mahaohkany
Предмет: Математика,
автор: aleks1234567876
Предмет: История,
автор: degtiarenkoviku