Предмет: Математика,
автор: дурак2005
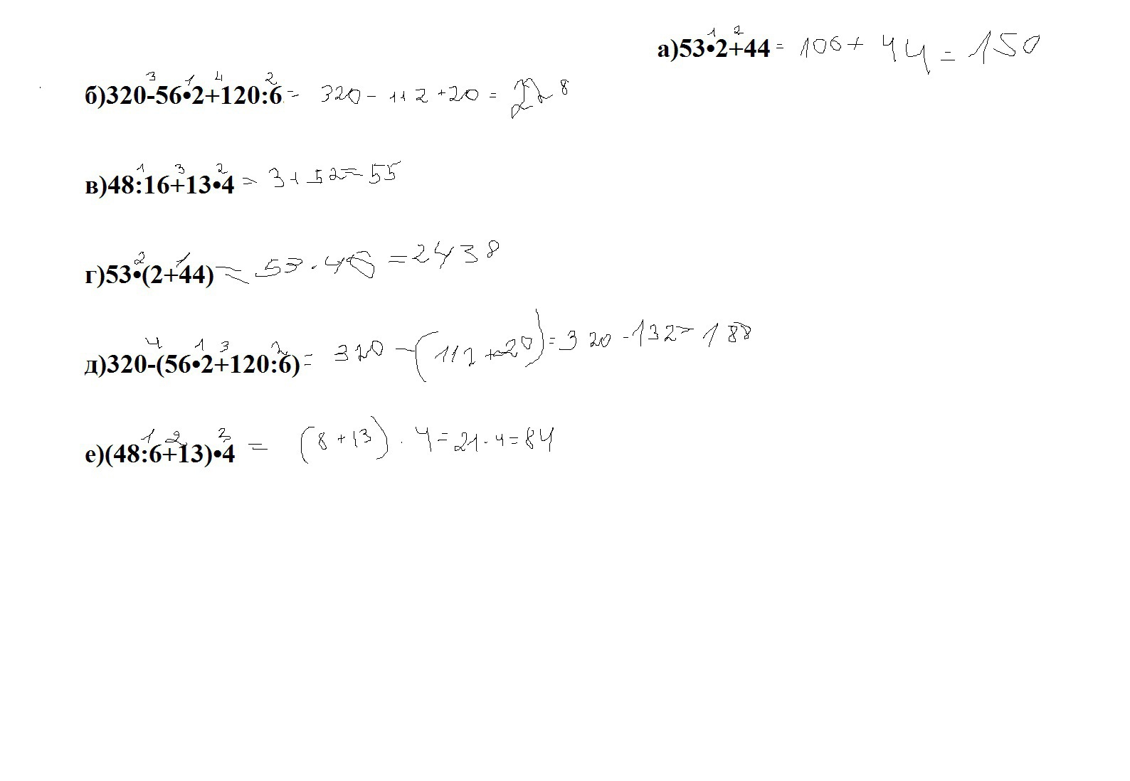
Укажите порядок действия а)53•2+44,б)320-56•2+120:6,в)48:16+13•4,г)53•(2+44д)320-(56•2+120:6),е)(48:6+13)•4
Ответы
Автор ответа:
0
решение в приложенном файле
Приложения:
Похожие вопросы
Предмет: Английский язык,
автор: dmitrypostovan
Предмет: Биология,
автор: Soniyalaki
Предмет: География,
автор: timurkolin20081
Предмет: Математика,
автор: traktoristspb