Предмет: Алгебра,
автор: pokemonoi
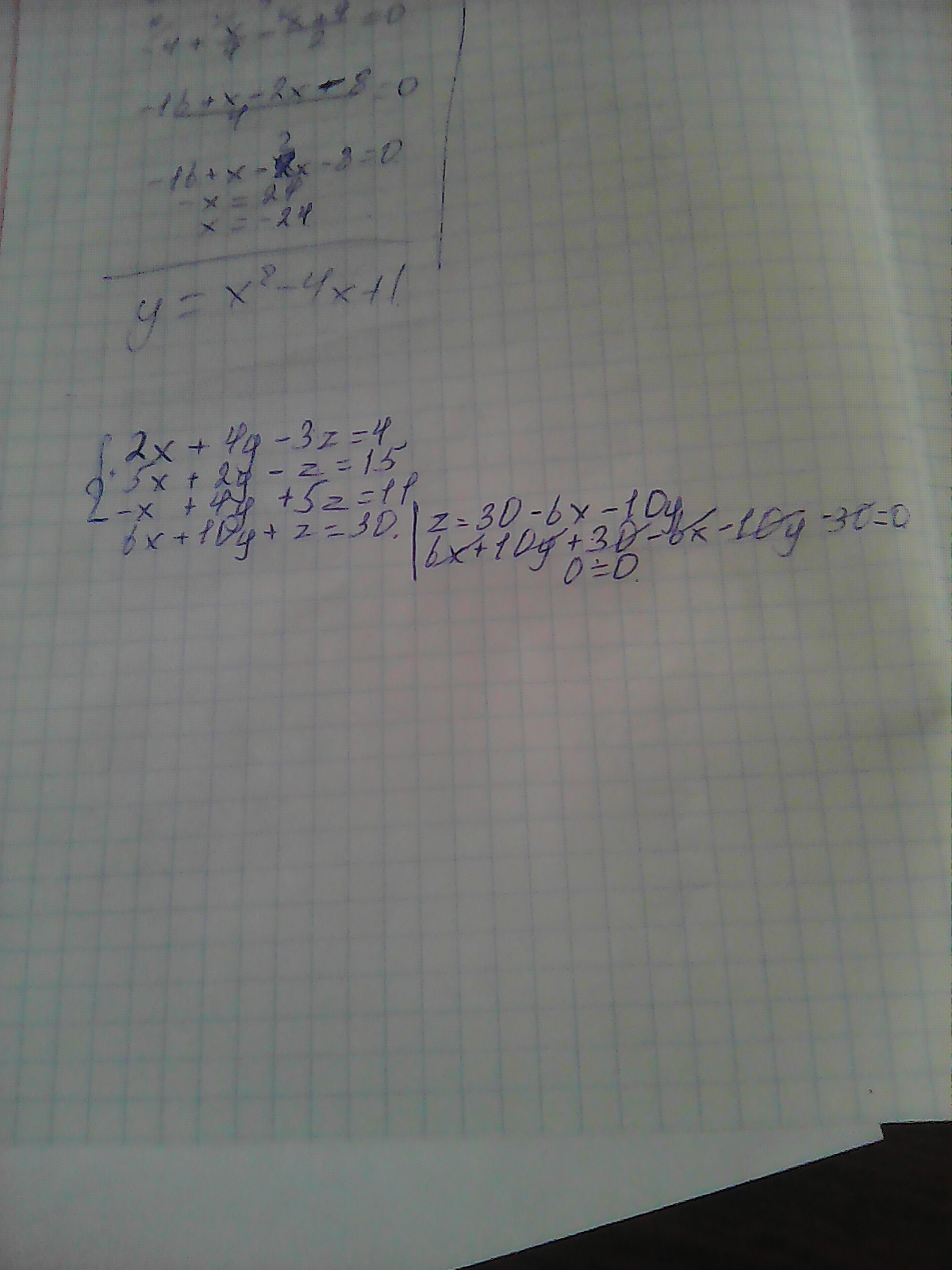
Решите систему(((
2x+4y-3z=4
5x+2y-z=15
-x+4y+5z=11
Ответы
Автор ответа:
0
там методом сложения
Приложения:
Похожие вопросы
Предмет: Математика,
автор: Aneliya2010
Предмет: Математика,
автор: asyl0607201037
Предмет: Химия,
автор: d58574831
Предмет: Информатика,
автор: марикий
Предмет: Математика,
автор: Baymieva