Предмет: Физика,
автор: Аноним
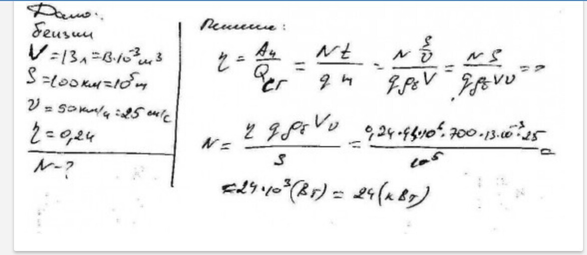
Автомобиль "Волга" расходует 13 л бензина на 100 км пути. опредилите развиваемую автомобилем мощност, если скорость его 90 км/ч, а КПД двигателя 0,24.
Ответы
Автор ответа:
0
Вроде так.. держи может поможет
Приложения:
Похожие вопросы
Предмет: Математика,
автор: riddlerx4
Предмет: Математика,
автор: rusnabi
Предмет: Қазақ тiлi,
автор: taeetaee
Предмет: Алгебра,
автор: drakon20011
Предмет: Обществознание,
автор: kristinamiler