Предмет: Алгебра,
автор: arcanoid495
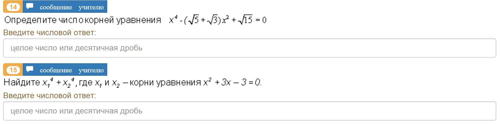
ПОМОГИТЕ ПОЖАЛУЙСТА!!!! ДАЮ 30 баллов!!!!
Приложения:
Ответы
Автор ответа:
0
1) по постановке вопроса, если нужно дать именно количество корней, то будет 4, так как x в четвертой степени
2)
осталось возвести x1 и х2 и посчитать)
![x_{1} ^{4} =[(frac{-3- sqrt{21}}{2})^2]^2=( frac{(-3)^2-2*(-3)*- sqrt{21}+(-sqrt{21} )^2 }{4} )^2= (frac{9-6 sqrt{21}+21 }{4} )^2= \ ( frac{30-6 sqrt{21} }{4} )^2= frac{30^2-2*30*-6 sqrt{21}+(-6sqrt{21})^2 }{16} = \frac{1656+360 sqrt{21} }{16} x_{1} ^{4} =[(frac{-3- sqrt{21}}{2})^2]^2=( frac{(-3)^2-2*(-3)*- sqrt{21}+(-sqrt{21} )^2 }{4} )^2= (frac{9-6 sqrt{21}+21 }{4} )^2= \ ( frac{30-6 sqrt{21} }{4} )^2= frac{30^2-2*30*-6 sqrt{21}+(-6sqrt{21})^2 }{16} = \frac{1656+360 sqrt{21} }{16}](https://tex.z-dn.net/?f=+x_%7B1%7D+%5E%7B4%7D+%3D%5B%28frac%7B-3-+sqrt%7B21%7D%7D%7B2%7D%29%5E2%5D%5E2%3D%28+frac%7B%28-3%29%5E2-2%2A%28-3%29%2A-+sqrt%7B21%7D%2B%28-sqrt%7B21%7D+%29%5E2+%7D%7B4%7D+%29%5E2%3D+%28frac%7B9-6+sqrt%7B21%7D%2B21+%7D%7B4%7D+%29%5E2%3D+%5C+%28+frac%7B30-6+sqrt%7B21%7D+%7D%7B4%7D+%29%5E2%3D+frac%7B30%5E2-2%2A30%2A-6+sqrt%7B21%7D%2B%28-6sqrt%7B21%7D%29%5E2+%7D%7B16%7D+%3D+%5Cfrac%7B1656%2B360+sqrt%7B21%7D+%7D%7B16%7D+)
аналогично посчитаем

Ответ

2)
осталось возвести x1 и х2 и посчитать)
аналогично посчитаем
Ответ
Автор ответа:
0
а как такие числа возвести хелп плес
Автор ответа:
0
сейчас, погоди немного)
Похожие вопросы
Предмет: Литература,
автор: ruslanehmedov2005
Предмет: Українська мова,
автор: sitskovskyy
Предмет: Литература,
автор: Okrao
Предмет: Математика,
автор: dasha16003
Предмет: Физика,
автор: semyashkina200