Предмет: Алгебра,
автор: lapushkindima
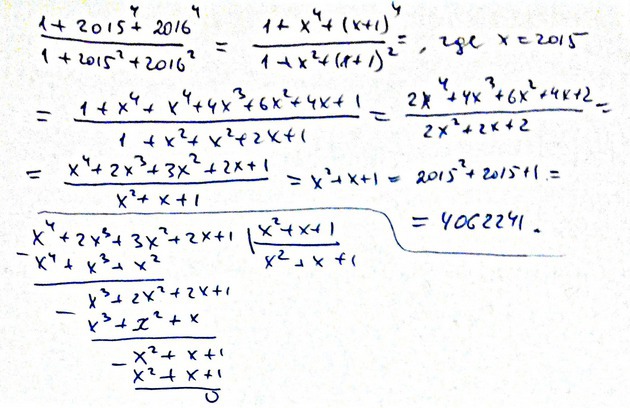
(1+2015^4+2016^4)/(1+2015^2+2016^2) решите удобным способом со всеми шагами
Ответы
Автор ответа:
0
Можно сделать с помощью грубой силы :)
Приложения:
Похожие вопросы
Предмет: Экономика,
автор: tarasovan9
Предмет: Биология,
автор: zilla7618
Предмет: Математика,
автор: inneska2004
Предмет: Химия,
автор: lenka25lena
Предмет: Алгебра,
автор: mcdahsa