Предмет: Математика,
автор: Домашка1337
Это срочно! Умоляю вас
Приложения:
Ответы
Автор ответа:
0
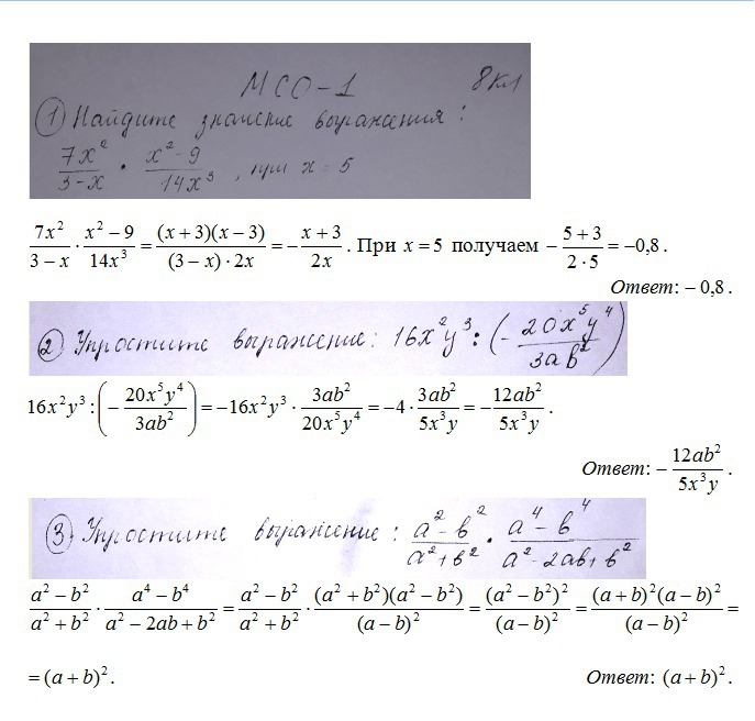
Решения в 2-х приложениях.
Приложения:
Похожие вопросы
Предмет: Математика,
автор: okopovbum
Предмет: Английский язык,
автор: ivettametel
Предмет: Английский язык,
автор: Аноним
Предмет: Химия,
автор: ivan22200