Предмет: Физика,
автор: keizdub
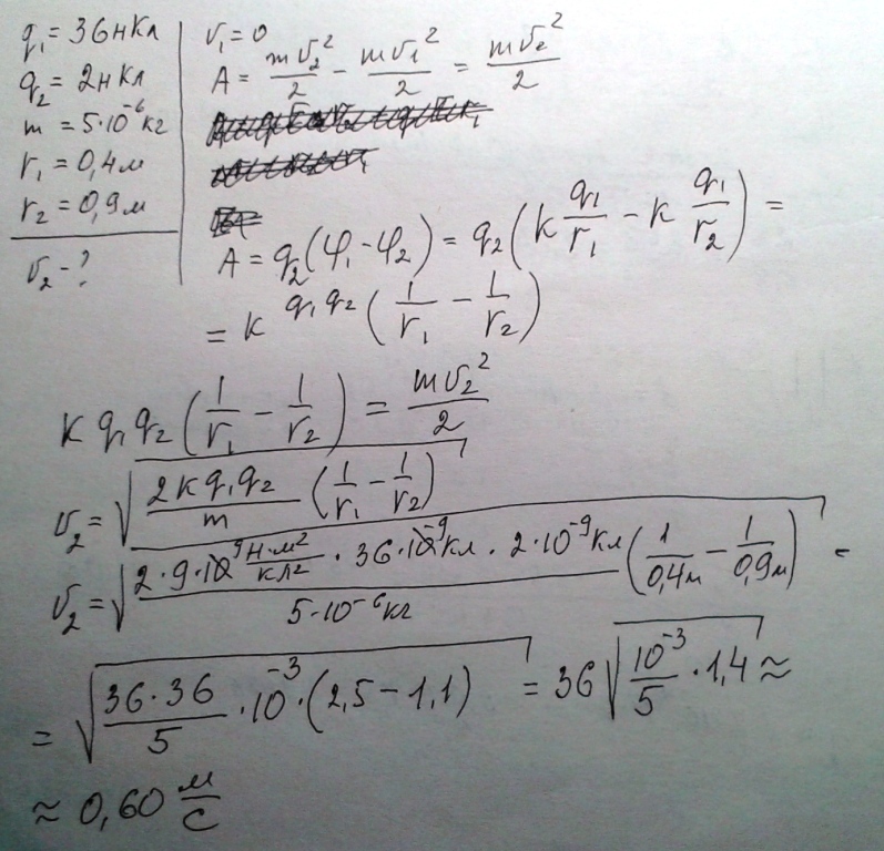
Электрическое поле создаёт неподвижный заряд q1=36 нКл.
Заряженная частица массой 5·10^−6 кг и зарядом q2=2 нКл перемещается из
точки, находящейся на расстоянии 0,4 м от неподвижного заряда, в точку,
находящуюся на расстоянии 0,9 м от него. Определить скорость частицы во
второй точке поля.
Ответы
Автор ответа:
0
Решение смотри на фотографии
Приложения:
Похожие вопросы
Предмет: Литература,
автор: Аноним
Предмет: Қазақ тiлi,
автор: daniya1507
Предмет: Математика,
автор: kharchenkovlad30
Предмет: Химия,
автор: registr1