Предмет: Алгебра,
автор: Аноним
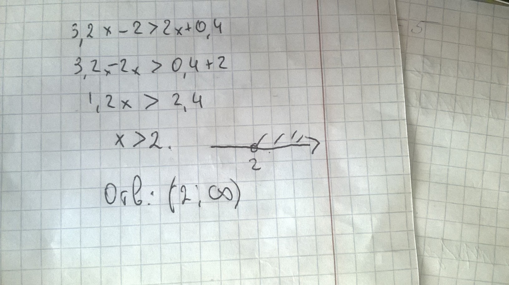
Как решить
3.2x-2>2x+0.4
Ответы
Автор ответа:
0
смотри во вложении .......
Приложения:
Похожие вопросы
Предмет: Английский язык,
автор: Dakuerufu
Предмет: Английский язык,
автор: tombomcor
Предмет: Алгебра,
автор: vlados7679
Предмет: Математика,
автор: Незнающийгений