Предмет: Алгебра,
автор: Sevastian2001
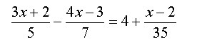
Решите пожалуйста линейное уравнение
Приложения:
Ответы
Автор ответа:
0
Общий знаменатель 35
7( 3х + 2 ) - 5( 4х - 3 ) = 4•35 + Х - 2
21х + 14 - 20х + 15 = 138 + Х
Х + 29 = 138 + Х
29 не равно 138
Ответ нет решений
7( 3х + 2 ) - 5( 4х - 3 ) = 4•35 + Х - 2
21х + 14 - 20х + 15 = 138 + Х
Х + 29 = 138 + Х
29 не равно 138
Ответ нет решений
Автор ответа:
0
(7(3x+2) -5(4x -3))/35 -(x-2)/35 =4
(21x +14 -20x +15 -(x -2)) /35 =4
x +29 -x +2 =4*35
31 =4*35 уравнение корней не имеет
(21x +14 -20x +15 -(x -2)) /35 =4
x +29 -x +2 =4*35
31 =4*35 уравнение корней не имеет
Похожие вопросы
Предмет: Биология,
автор: viktoria08052008
Предмет: Физика,
автор: Аноним
Предмет: Психология,
автор: vegorova8779
Предмет: Биология,
автор: x10x2003x
Предмет: Обществознание,
автор: Tewwe