Предмет: Математика,
автор: mari6ka2
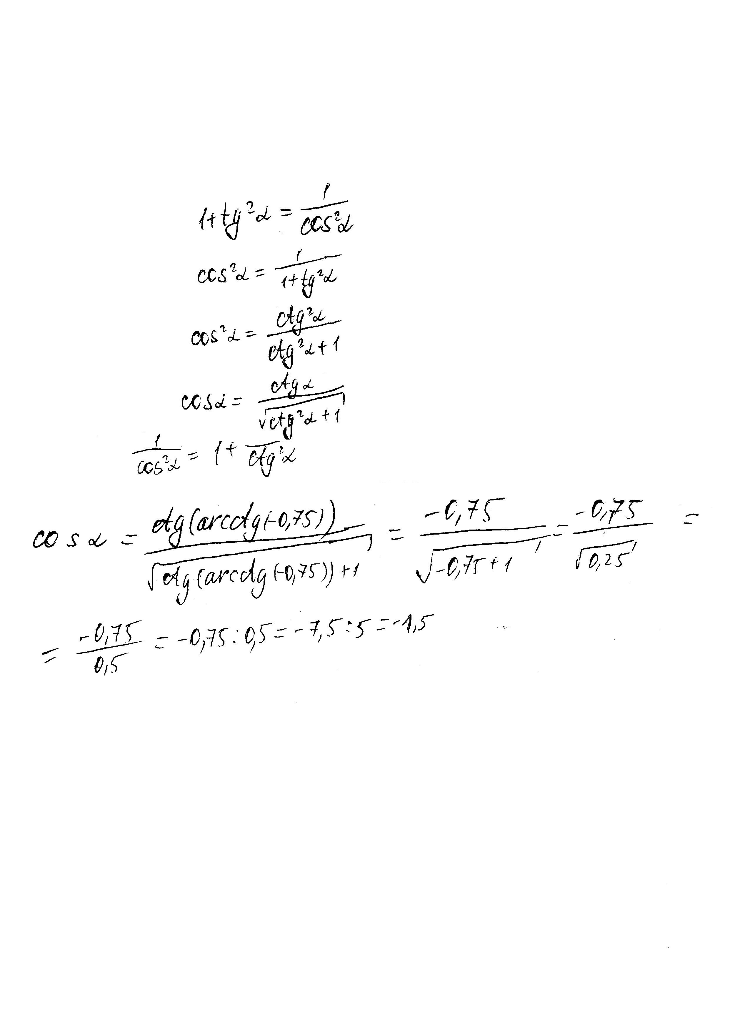
Вычислить cos(arcctg(-0.75)
Ответы
Автор ответа:
0
Решение в приложении.
Приложения:
Автор ответа:
0
Спасибо большое,очень помогли
Похожие вопросы
Предмет: Алгебра,
автор: uriybiliakv
Предмет: Немецкий язык,
автор: yournightmare5
Предмет: Алгебра,
автор: Аноним
Предмет: Биология,
автор: Пятновыводитель