Предмет: Алгебра, автор: шахин1

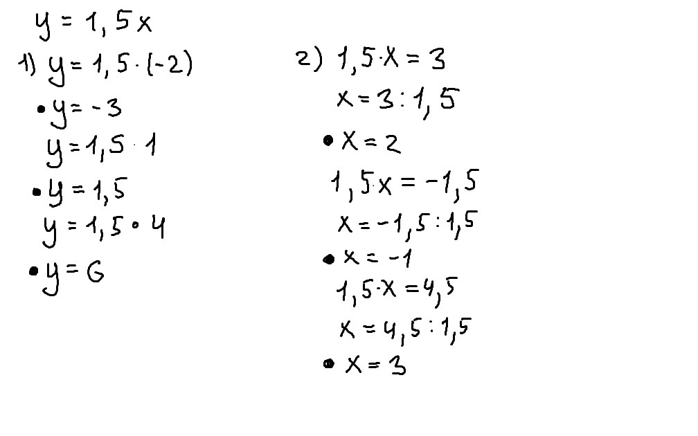
Построить то построил , а остальное 1) и 2) не понял . Помогите! 50 баллов

Приложения:

Ответы

Автор ответа: Сугубо
0
Решение в закрепке...........
Приложения:
Похожие вопросы
Предмет: Алгебра, автор: pedroll
Предмет: Физика, автор: Julias13