Предмет: Химия,
автор: gregorpechorin
Составьте, пожалуйста, уравнения реакций:
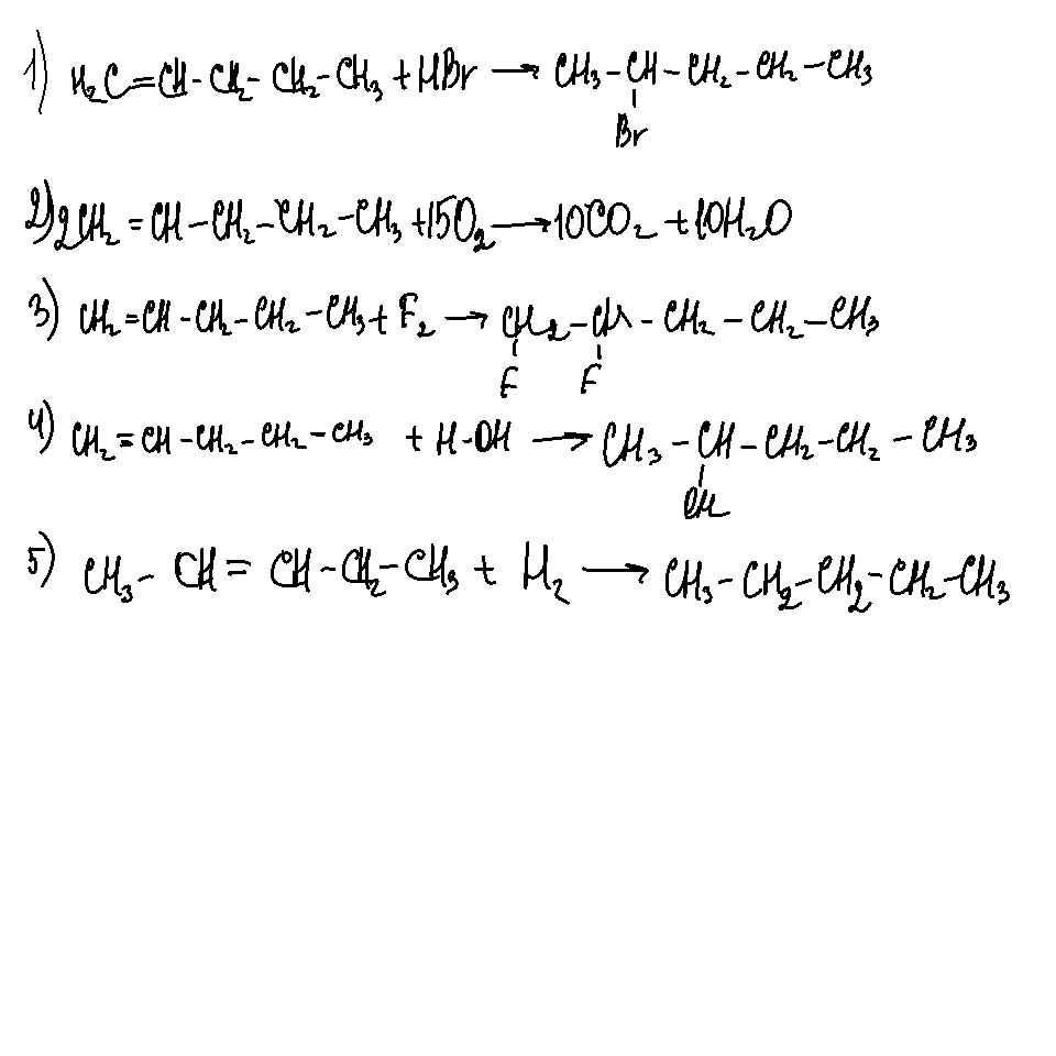
1) пентен-1 + HBr
2) пентен-1 + O₂
3) пентен-1 + F₂
4) пентен-1 + H₂О
5) пентен-2 + H₂
Помогите, пожалуйста!!!!
Ответы
Автор ответа:
0
1) Гидрогалогенирование
2) Горение
3) Галогенирование
4) Гидратация
5) Гидрирование
2) Горение
3) Галогенирование
4) Гидратация
5) Гидрирование
Приложения:
Похожие вопросы
Предмет: Геометрия,
автор: Den1122006
Предмет: Английский язык,
автор: tytytyty27
Предмет: Английский язык,
автор: katr9361
Предмет: История,
автор: tane4zacr
Предмет: Литература,
автор: ambiguous