Предмет: Алгебра,
автор: Аноним
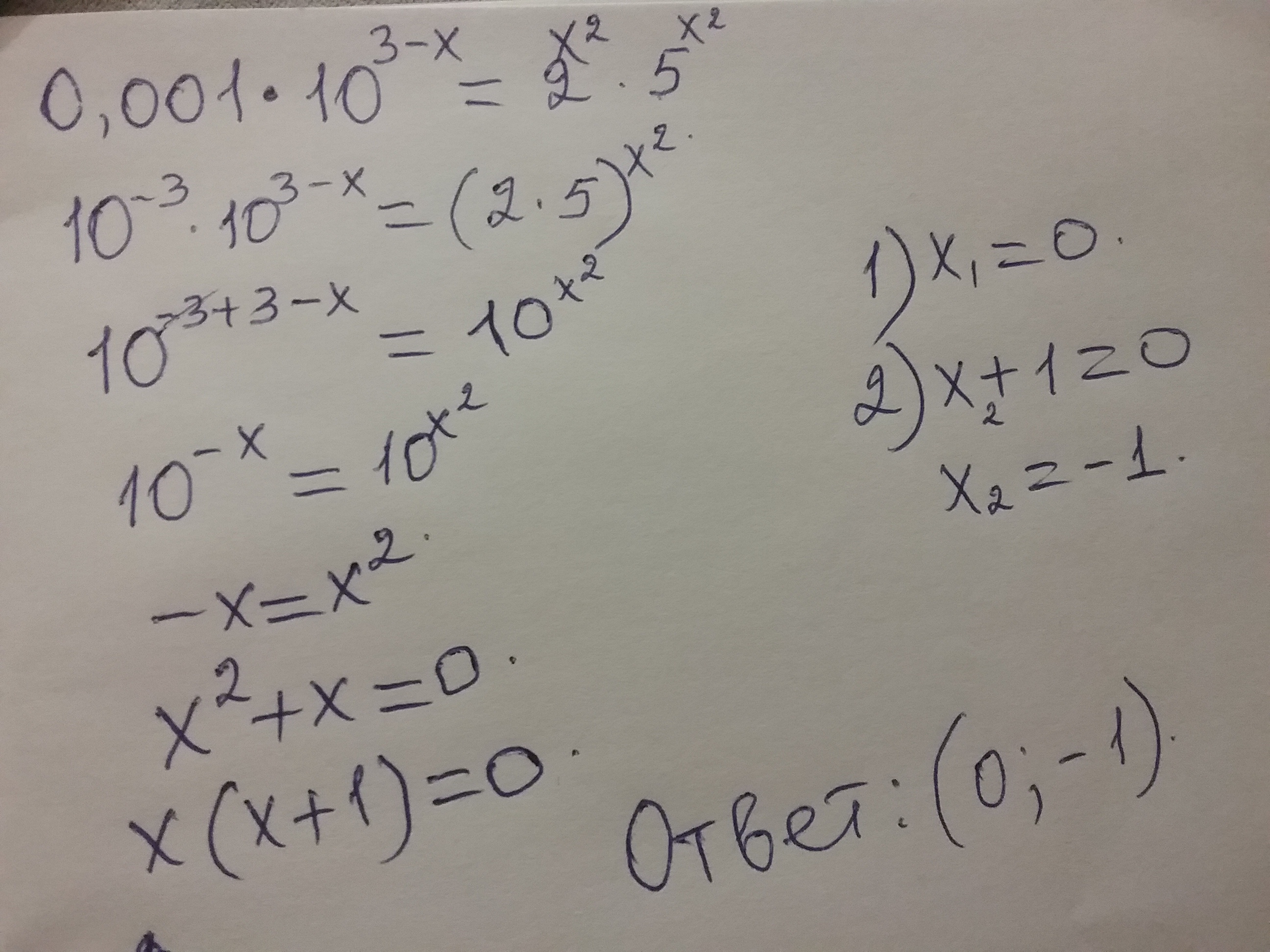
Решите пожалуйста подробно, на листочке, если можно.
Приложения:
Ответы
Автор ответа:
0
-------------------------------
Приложения:
Похожие вопросы
Предмет: Математика,
автор: math1079
Предмет: Алгебра,
автор: nana8717
Предмет: Обществознание,
автор: radikgalimov6305
Предмет: География,
автор: KondakovaVioletta
Предмет: Алгебра,
автор: Аноним