Предмет: Алгебра,
автор: KARTOFAN1337
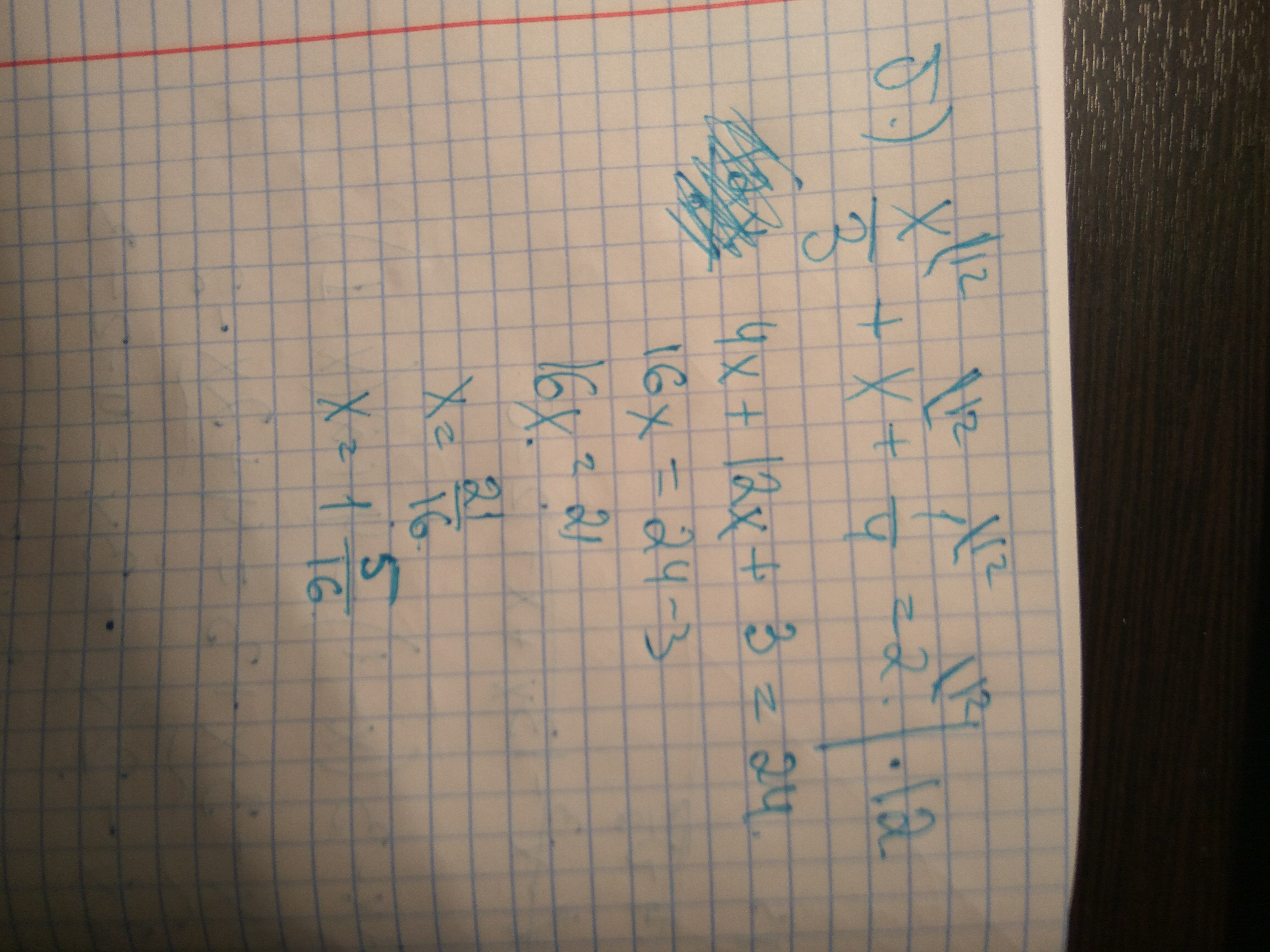
Решить уравнение : а) 2x-3(x-1)=4+2(x-1); б) x/3 + x+1/4 = 2
Ответы
Автор ответа:
0
Вот ответ на а) через 5 мин напишу ответ на второе задание
Приложения:
Автор ответа:
0
a) 2x-3(x-1)=4+2(x-1)
2x-3x+3=4+2x-2
2x-3x-2x=4-2-3
-3x=-1
x=-1/-3
x=0.(3)
2x-3x+3=4+2x-2
2x-3x-2x=4-2-3
-3x=-1
x=-1/-3
x=0.(3)
Приложения:
Похожие вопросы
Предмет: География,
автор: viksalife08
Предмет: Окружающий мир,
автор: sam13102020sung
Предмет: Математика,
автор: Dora54321
Предмет: Геометрия,
автор: полиночка2012
Предмет: Химия,
автор: Mazay9811