Предмет: Алгебра,
автор: капризник
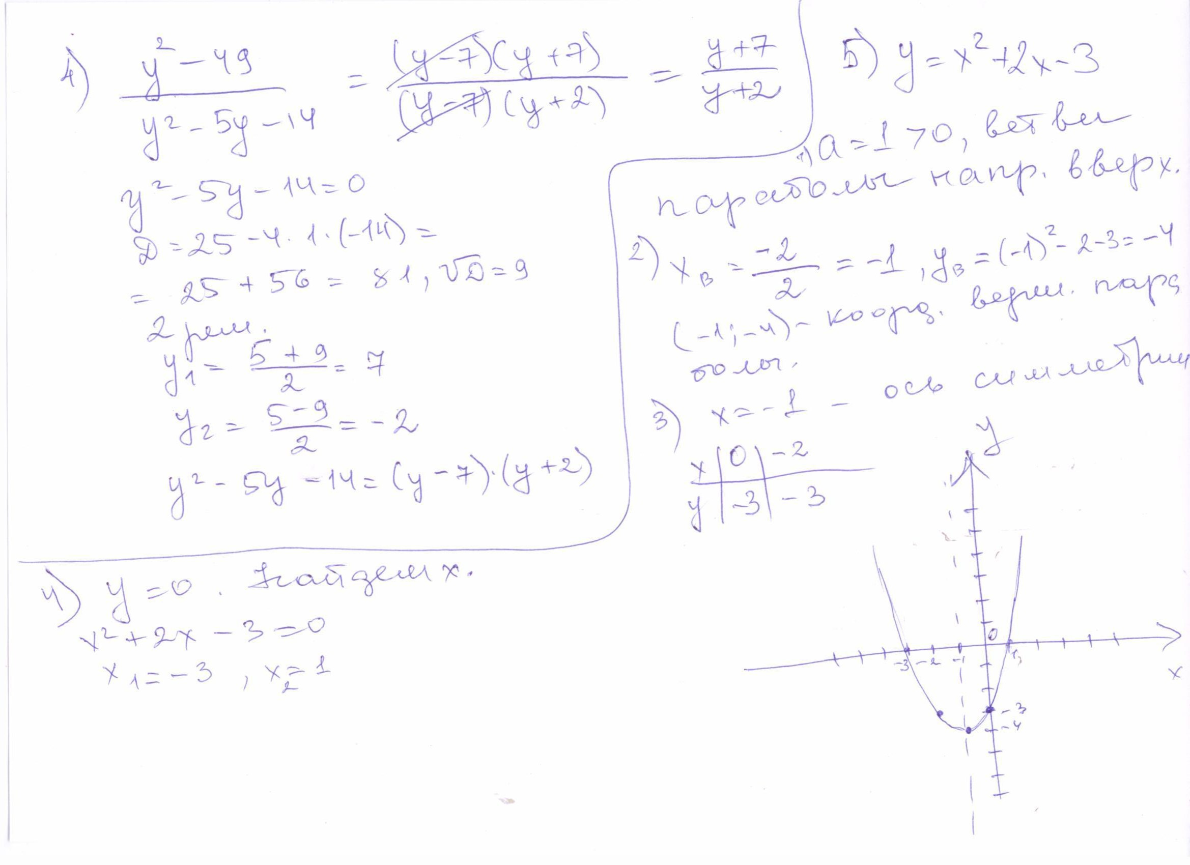
РЕШИТЕ С МЕНЯ 49 баллов желательно на листочке
Приложения:
Ответы
Автор ответа:
0
Все смотри в приложении.
Сокращение и график.
Сокращение и график.
Приложения:
Автор ответа:
0
Там №4 и№5. В №5 я расписала по порядку все шаги (действия).
Автор ответа:
0
а ок спасибо
Автор ответа:
0
На спасибо НАЖМИ! :))
Похожие вопросы
Предмет: География,
автор: amangalid
Предмет: Математика,
автор: lilyaosudar
Предмет: Математика,
автор: stasongor012
Предмет: Математика,
автор: Аноним
Предмет: Математика,
автор: nastyasahka73