Предмет: Математика,
автор: Аноним
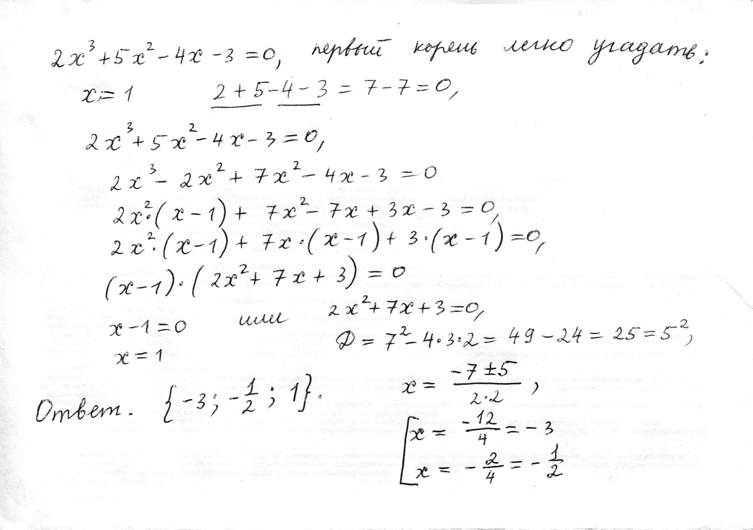
2x3+5x2-4x-3=0 решите уравнение пожалуйста
Ответы
Автор ответа:
0
Пожалуйста! Ответ:
2х3+5х2-4х3=35
2х3+5х2-4х3=35
Автор ответа:
0
прикрепленный файл изображения посмотри
Приложения:
Похожие вопросы
Предмет: Русский язык,
автор: bahova4789
Предмет: История,
автор: anaakungalacaka
Предмет: География,
автор: Аноним
Предмет: Математика,
автор: pomagiteplis
Предмет: История,
автор: Beloglazova12