Предмет: Математика,
автор: Daygon
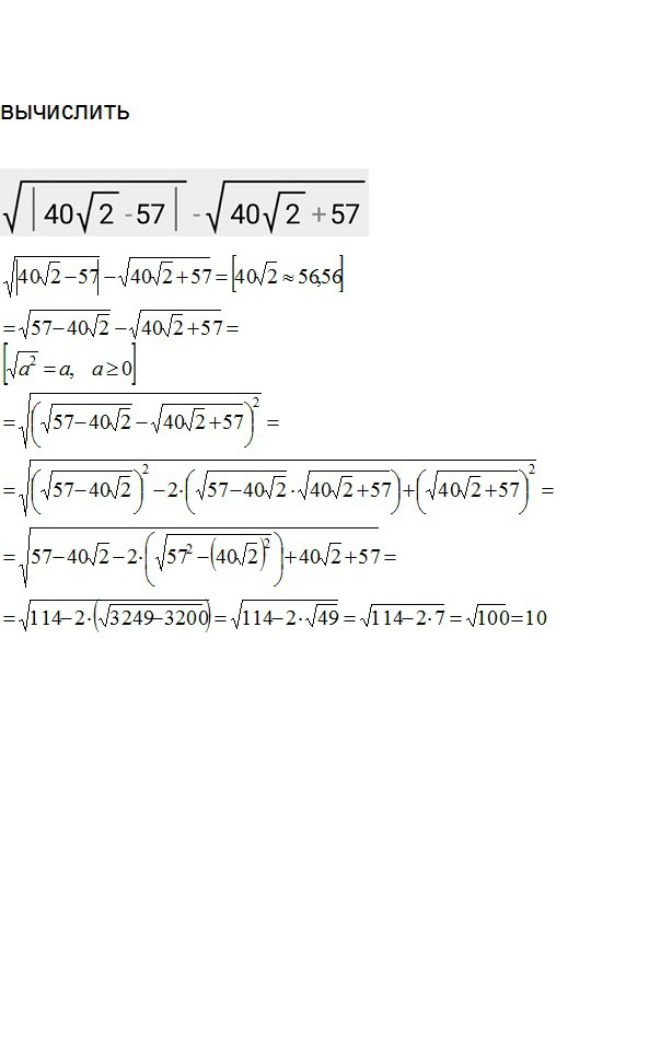
по условию просят просто вычислить(напишите пожалуйста решение)
варианты ответов
10
-10
11
-11
0
Приложения:
Ответы
Автор ответа:
0
решение во вложении
в квадратных скобках можно не писать
в квадратных скобках можно не писать
Приложения:
Похожие вопросы
Предмет: Английский язык,
автор: abilova0597
Предмет: Математика,
автор: sonyapro640
Предмет: Математика,
автор: dimagaraga16
Предмет: Геометрия,
автор: molli12