Предмет: Алгебра,
автор: Kissaaaaaa
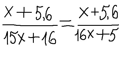
Помогите решить уравнение=)
Приложения:
Ответы
Автор ответа:
0
(х+5,6)(16х+5)=(15х+16)(х+5,6)
16х^2+5х+89,6х+28= 15х^2+84х+16х+89,6
16х^2+94,6х+28=15х^2+100х+89,6
х^2-5,4х-61,6=0
Д=29,16+246,4=275,56
=

Ответ
16х^2+5х+89,6х+28= 15х^2+84х+16х+89,6
16х^2+94,6х+28=15х^2+100х+89,6
х^2-5,4х-61,6=0
Д=29,16+246,4=275,56
Ответ
Похожие вопросы
Предмет: Қазақ тiлi,
автор: aadilakhim
Предмет: Английский язык,
автор: azgalievazarina25
Предмет: Литература,
автор: livova198
Предмет: Литература,
автор: sarar230567