Предмет: Алгебра,
автор: НастяNM
помогите ИЗ 5
все что сможите)
заранеее ОГРОМНОЕ спасибо)
Приложения:
Ответы
Автор ответа:
0
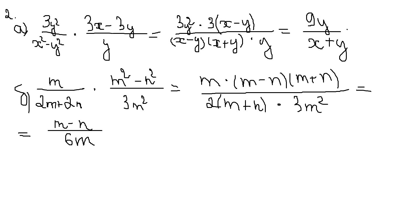
Вот,решила второе задание)))надеюсь там всё понятно, а то на компьютере было трудно это писать))
Приложения:
Похожие вопросы
Предмет: Биология,
автор: vikavoronova713
Предмет: Литература,
автор: dianchikpoli
Предмет: Биология,
автор: abrziska
Предмет: Физика,
автор: sabirovsarvar2