Предмет: Алгебра,
автор: Бывалый95
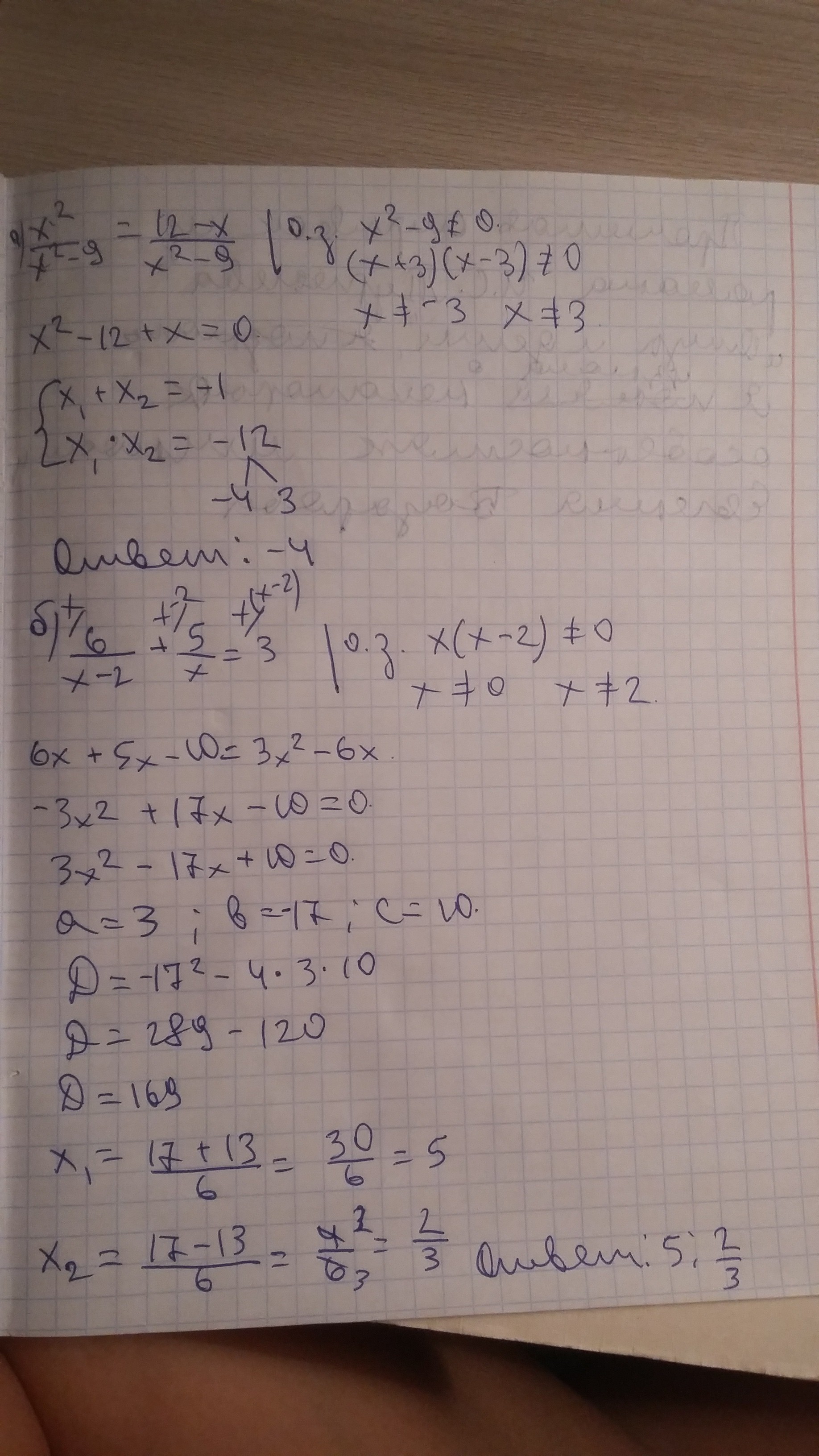
помогите пожалуйста сделать уравнение
Приложения:
Ответы
Автор ответа:
0
Просто подведи под общий знаменатель, найди чему не должен ровняться x, а дальше опусти знаменатель и реши числитель с помощью дискриминанта или теоремы Виета
Приложения:
Похожие вопросы
Предмет: Українська мова,
автор: olywaira23
Предмет: Алгебра,
автор: rmarunak47
Предмет: Математика,
автор: purplebts0606
Предмет: Математика,
автор: lysiakarapetya