Предмет: Алгебра,
автор: Klimova20031
решить все пожалуйста
Приложения:
Ответы
Автор ответа:
0
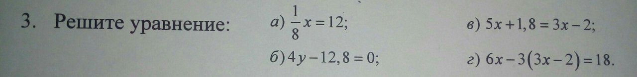
а)
1
- x = 12 домножаем на 8
8
8*8x=96
64=96/64
x=1.5
б)
4y-12,8=0
4у=12,8
y=3,2
1
- x = 12 домножаем на 8
8
8*8x=96
64=96/64
x=1.5
б)
4y-12,8=0
4у=12,8
y=3,2
Автор ответа:
0
/ это дробная черта?
Похожие вопросы
Предмет: История,
автор: kazminvladislav054
Предмет: Химия,
автор: Ar1234554
Предмет: Математика,
автор: s19070085
Предмет: Биология,
автор: GeorgeDemirkhan
Предмет: Алгебра,
автор: Ирочка272