Предмет: Алгебра,
автор: vanya624
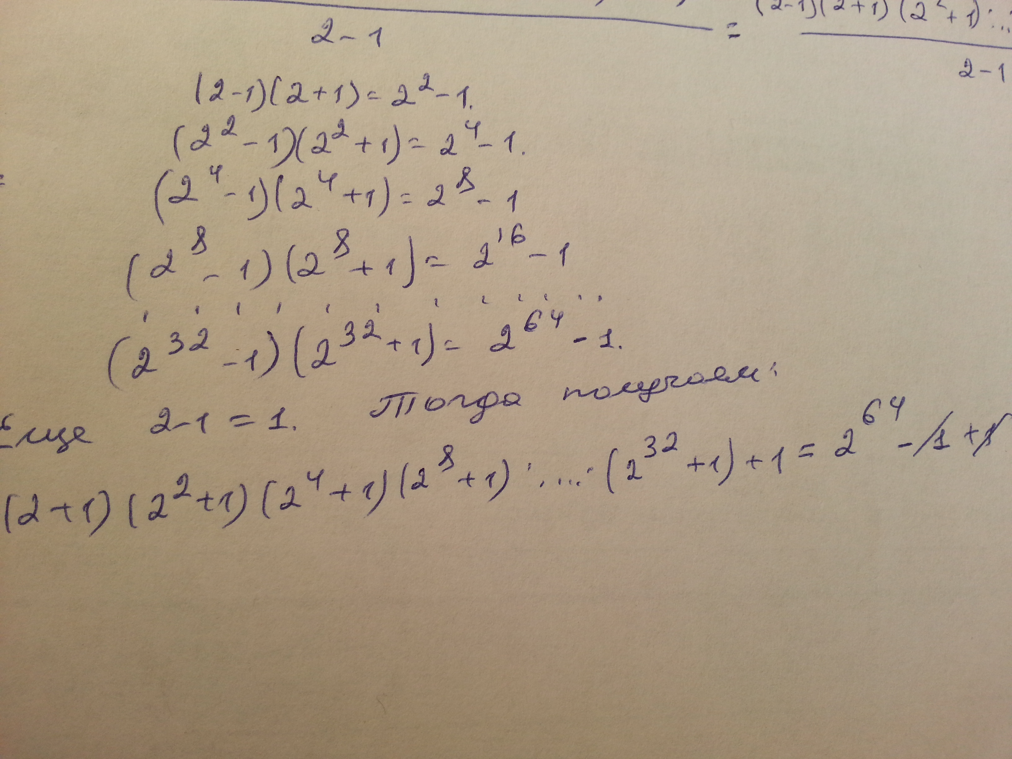
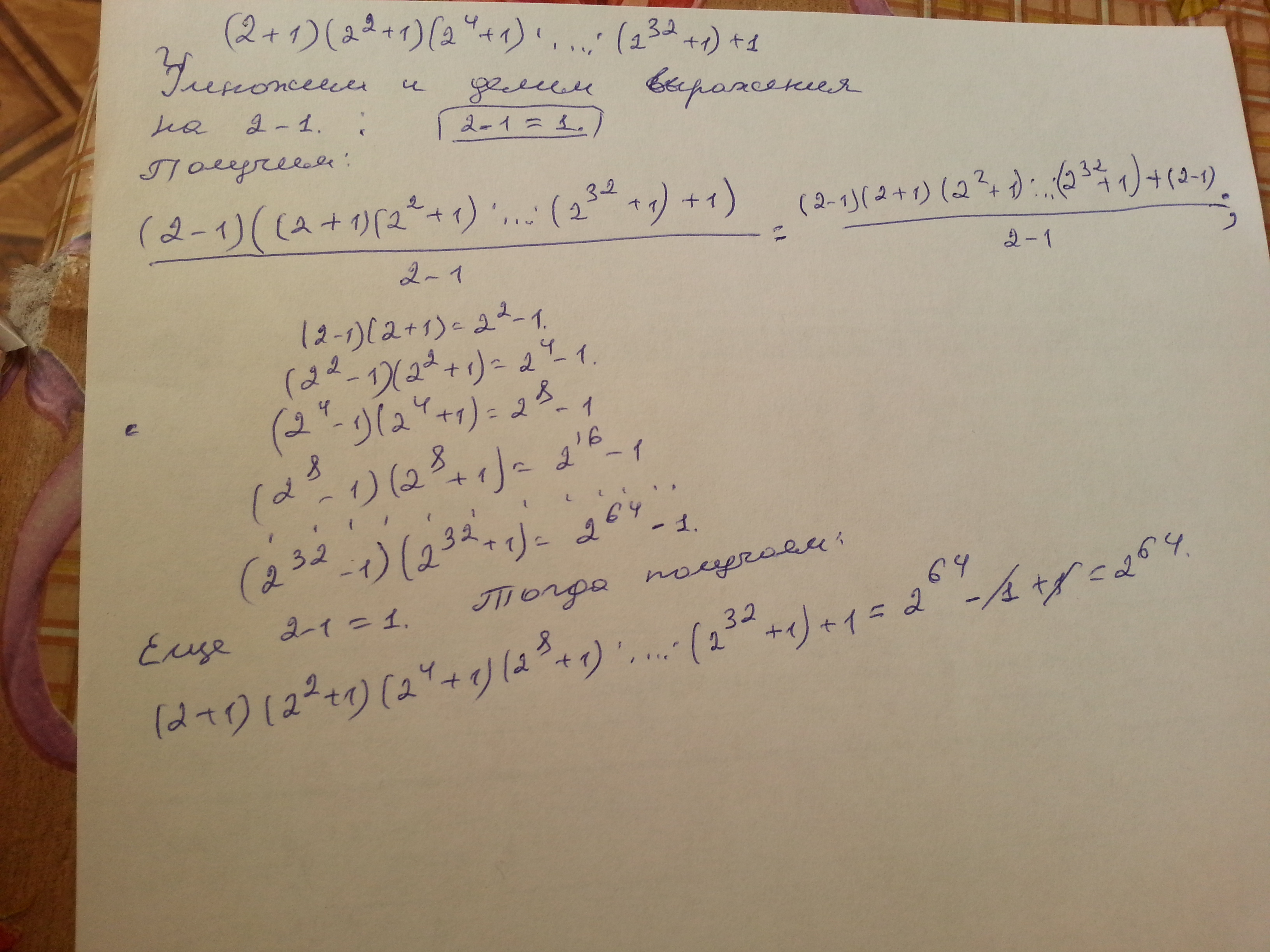
Упростить (2+1)(2²+1)(2⁴+1)×…×(2³²+1)+1
Ответы
Автор ответа:
0
/ / / / / / / / / / / / $ / / / / / / / / / / /
Приложения:
Похожие вопросы
Предмет: Химия,
автор: ss7262915
Предмет: Английский язык,
автор: oksibaeverkanat
Предмет: Українська мова,
автор: darakikexuto349
Предмет: Математика,
автор: eskinir
Предмет: История,
автор: Ильяnbrfh