Предмет: Алгебра,
автор: кек596
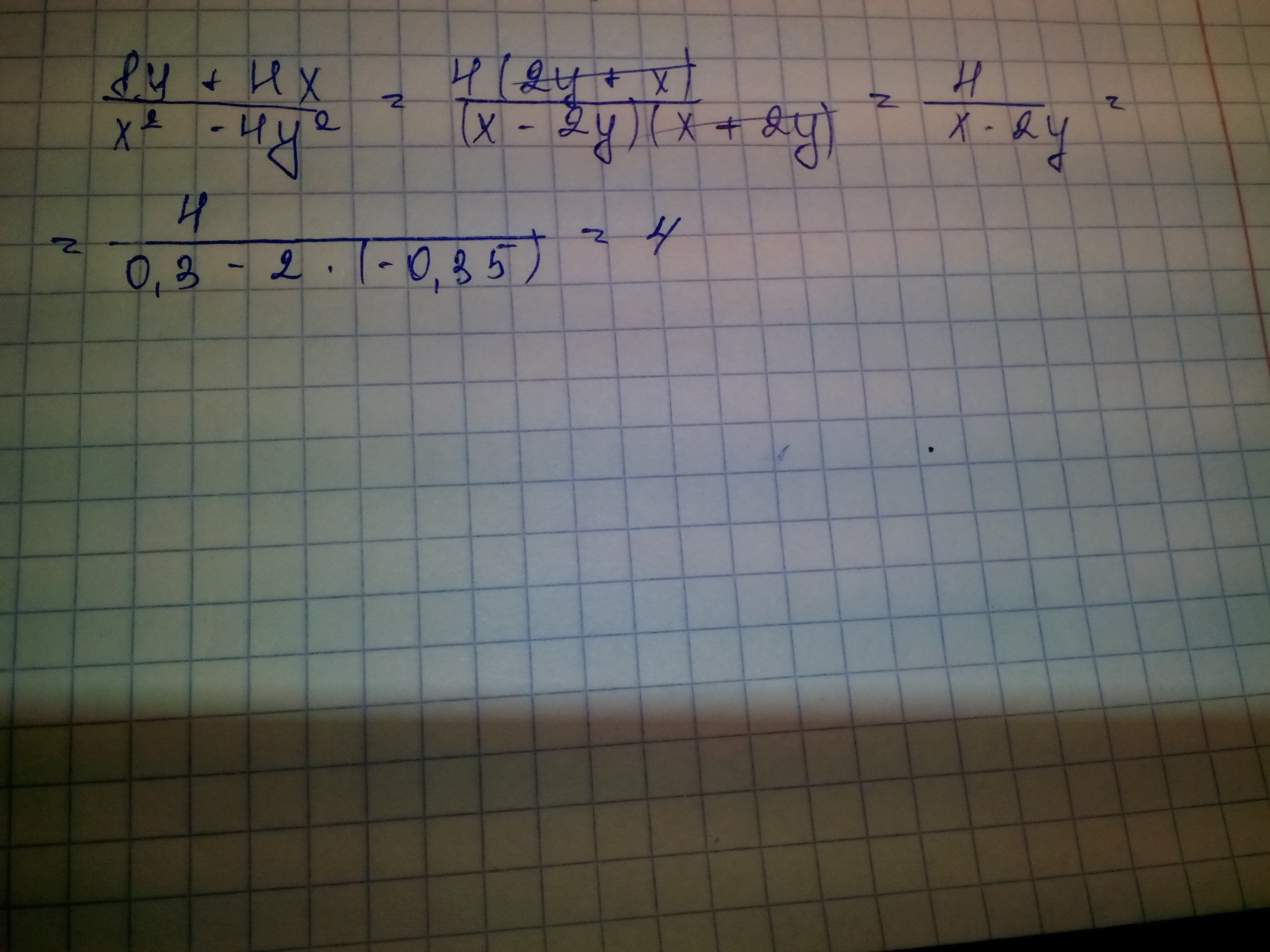
сократить дробь 8y+4x/x^2-4y^2 и найдите её значение при x= 0,3 и y= -0,35 очень нужно ПОЖАЛУЙСТА♡♥
Ответы
Автор ответа:
0
--------------------
Приложения:
Похожие вопросы
Предмет: Математика,
автор: T0P24
Предмет: Физика,
автор: kamillamiftahova9
Предмет: Математика,
автор: turganzanovzulpikar
Предмет: Алгебра,
автор: tanyager2010
Предмет: Математика,
автор: UltraCreeperL0ck