Предмет: Алгебра,
автор: olisykes3
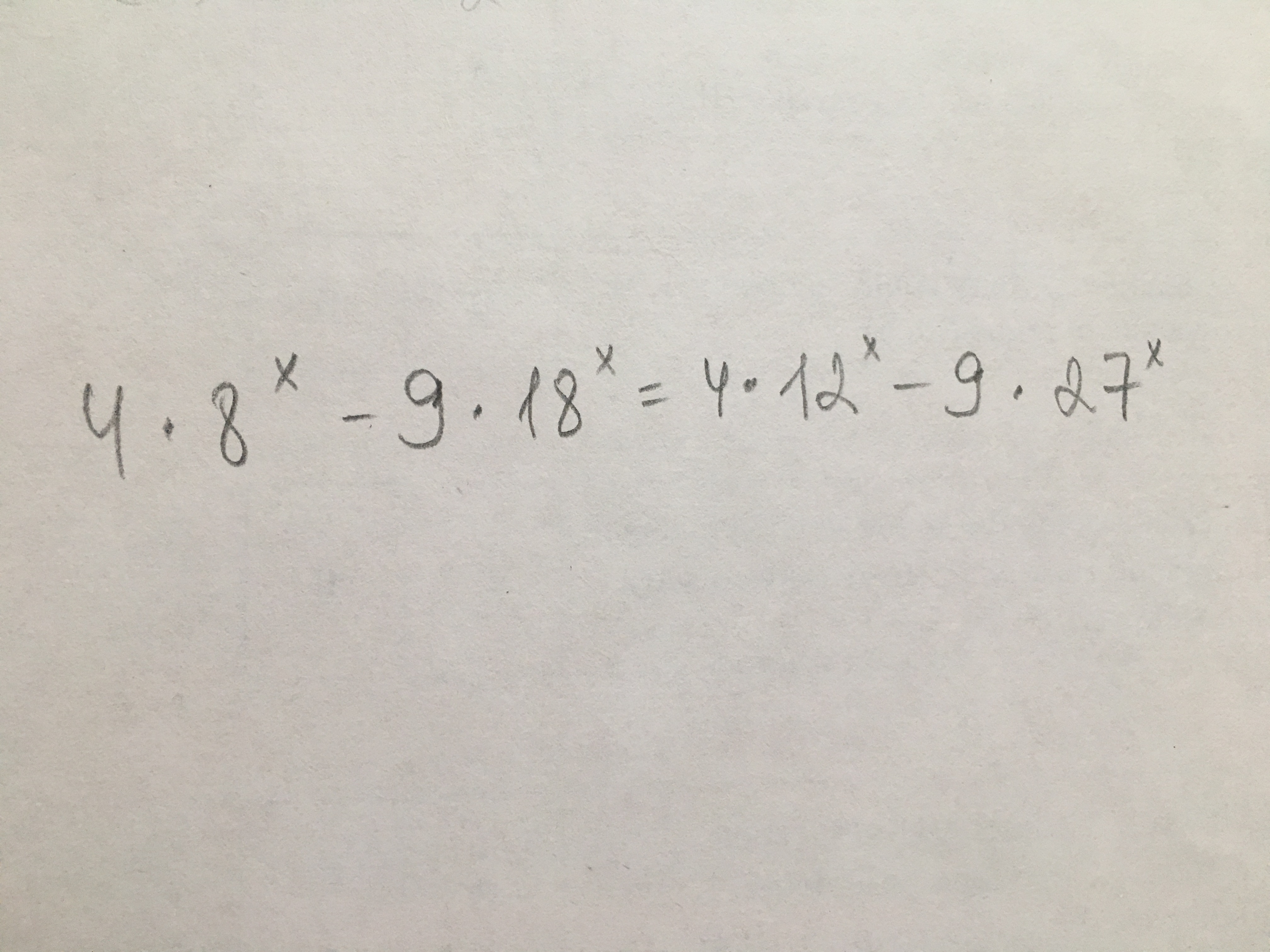
Нужно решить показательное уравнение
Приложения:
Ответы
Автор ответа:
0
решение во вложении---------------------
Приложения:
Похожие вопросы
Предмет: Қазақ тiлi,
автор: Аноним
Предмет: Математика,
автор: ilmaiwthswh
Предмет: Геометрия,
автор: vilcinskanasta21
Предмет: Обществознание,
автор: marinaminaeva1
Предмет: Математика,
автор: nastek0502