Предмет: Математика,
автор: Аноним
помогите прошу срочно нужно
Приложения:
Ответы
Автор ответа:
0
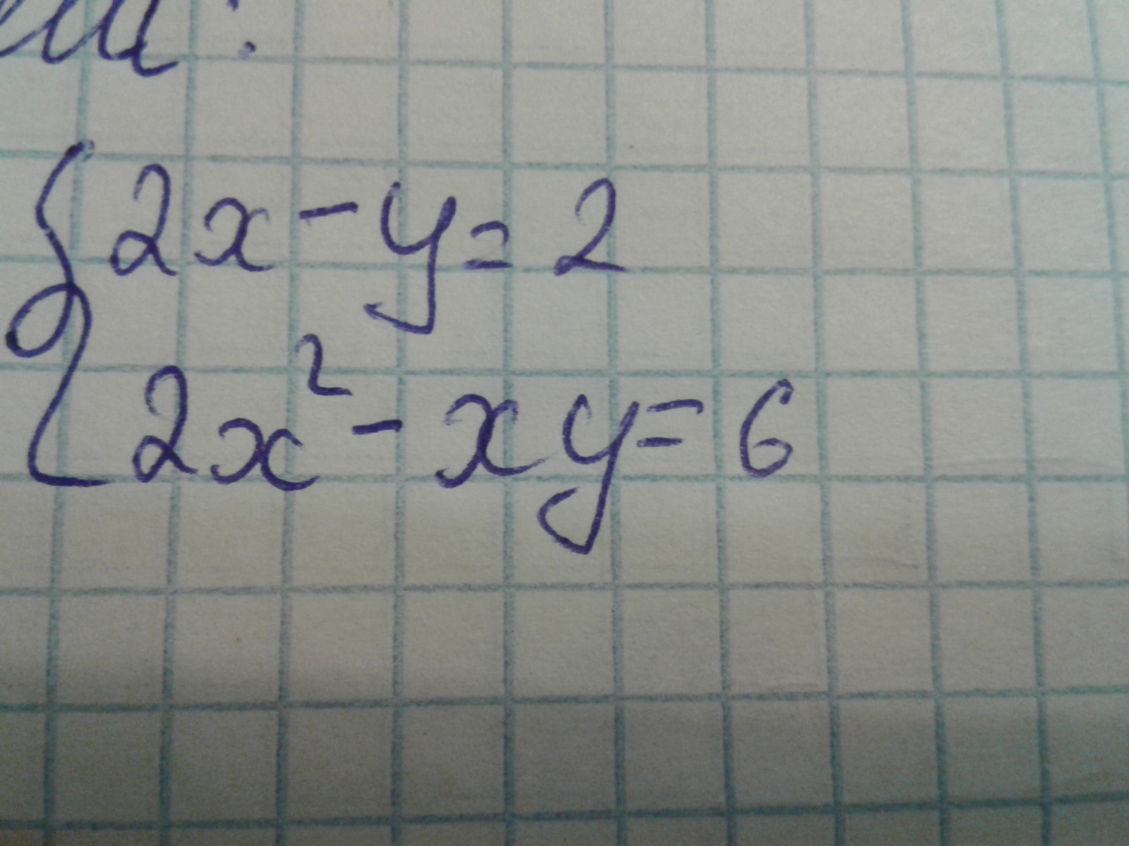
{2x - y = 2; x(2x - y) = 6
Похожие вопросы
Предмет: География,
автор: 0777andrey77700
Предмет: Українська мова,
автор: mayastolova
Предмет: Английский язык,
автор: mimimi9033
Предмет: Математика,
автор: km616
Предмет: Экономика,
автор: jolieangelina