Предмет: Алгебра,
автор: алина12343
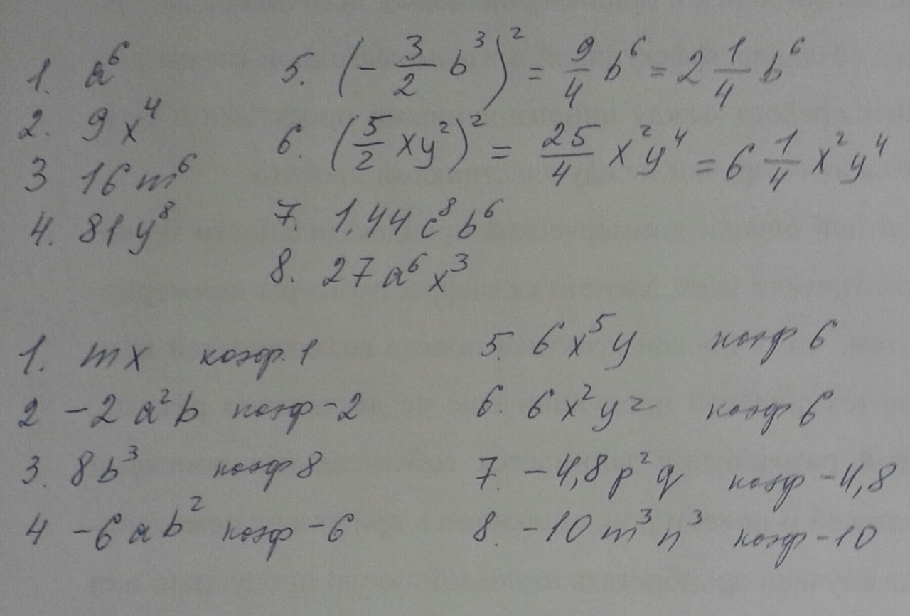
помогите пожалуйста срочно 157 158
Приложения:
Ответы
Автор ответа:
0
вот решение на фото, все видно
Приложения:
Автор ответа:
0
спасибо большое
Похожие вопросы
Предмет: Українська мова,
автор: Аноним
Предмет: Математика,
автор: n02161047
Предмет: Математика,
автор: Stellka777s
Предмет: Математика,
автор: kusrik
Предмет: Литература,
автор: Т1ТILikeMeТ1Т