Предмет: Физика,
автор: Голубь2016
Легковой автомобиль догоняет грузовой. Какое расстояние будет между ими после встречи t=7мин,если скорость равномерного движения легкового автомобиля v1=25 м/c,а v2=60 км/ч
Ответы
Автор ответа:
0
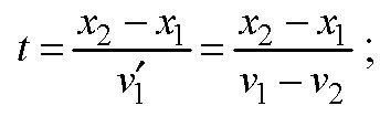
Держи решение все формулы там
Приложения:
Похожие вопросы
Предмет: Окружающий мир,
автор: lizabatasheva2207
Предмет: Физика,
автор: marinevska86
Предмет: Геометрия,
автор: alaxabar196
Предмет: Химия,
автор: Ltory1
Предмет: Физика,
автор: vladvlad78963