Предмет: Алгебра,
автор: ElenaKolody
решитее , нигде немогу найти уже ответ
Приложения:
Ответы
Автор ответа:
0
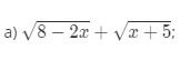
(√8-2х)²+(√х+5)²=0
8-2х+х+5=0
-2х+х=-8-5
-х=-13
х=-13:(-1)
х=13
8-2х+х+5=0
-2х+х=-8-5
-х=-13
х=-13:(-1)
х=13
Автор ответа:
0
в ответе должно получится множество
Похожие вопросы
Предмет: География,
автор: ttimofa
Предмет: Математика,
автор: Аноним
Предмет: Математика,
автор: Аноним
Предмет: История,
автор: furija84