Предмет: Алгебра,
автор: Громова203
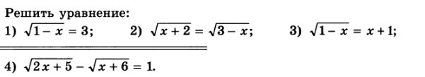
решите уравнения, помогите пож, срочно надо
Приложения:
Ответы
Автор ответа:
0
--------------------------
Приложения:
Похожие вопросы
Предмет: Математика,
автор: muslimovazuhra
Предмет: Информатика,
автор: flex126
Предмет: Физкультура и спорт,
автор: vikacleofinaooo1
Предмет: Математика,
автор: gulzhanimanova
Предмет: Физика,
автор: Valeriya5499Valeriya