Предмет: Алгебра,
автор: Dasha2727
АЛГБЕРА 8 КЛАСС
ПОМОГИТЕ СРОЧНО!!
Приложения:
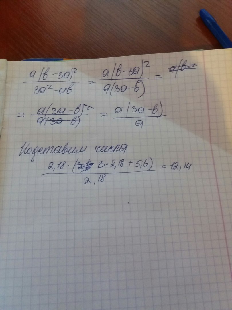
Ответы
Автор ответа:
0
как то так,
надеюся я решила правильно
надеюся я решила правильно
Приложения:
Автор ответа:
0
а(в-3а)²/3а²-ав = в²-9а²/3а²-ав
при а=2,18
в=-5,6
(-5,6)²-9(2,18)²/3(2,18)²-(2,18*(-5,6))=
=31,36-42,7716/14,2572+12,208=
=-11,4116/26,4652=
=-2,854/6,6163
при а=2,18
в=-5,6
(-5,6)²-9(2,18)²/3(2,18)²-(2,18*(-5,6))=
=31,36-42,7716/14,2572+12,208=
=-11,4116/26,4652=
=-2,854/6,6163
Приложения:
Похожие вопросы
Предмет: Музыка,
автор: Arinaihenko
Предмет: Қазақ тiлi,
автор: sadirovaadiya8
Предмет: Қазақ тiлi,
автор: rekaterina84
Предмет: Геометрия,
автор: Аноним
Предмет: Физика,
автор: mishataralesh