Предмет: Геометрия,
автор: 556349
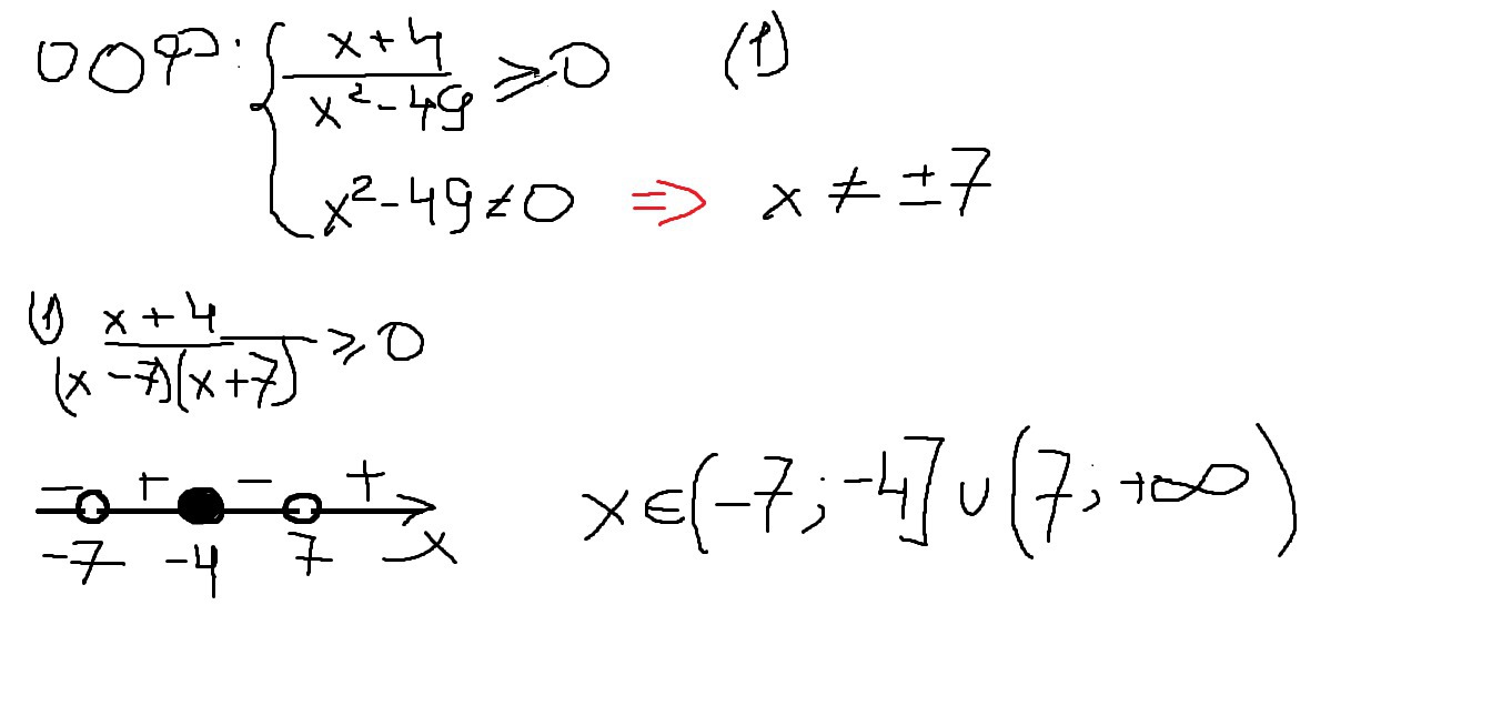
Найдите область определения функции:
Приложения:
Ответы
Автор ответа:
0
Решение на картинке............
Приложения:
Похожие вопросы
Предмет: Математика,
автор: POMOGY282
Предмет: Русский язык,
автор: alina482738
Предмет: Қазақ тiлi,
автор: ajnaskozanova4
Предмет: Математика,
автор: vatuti1995