Предмет: Алгебра,
автор: madamkate
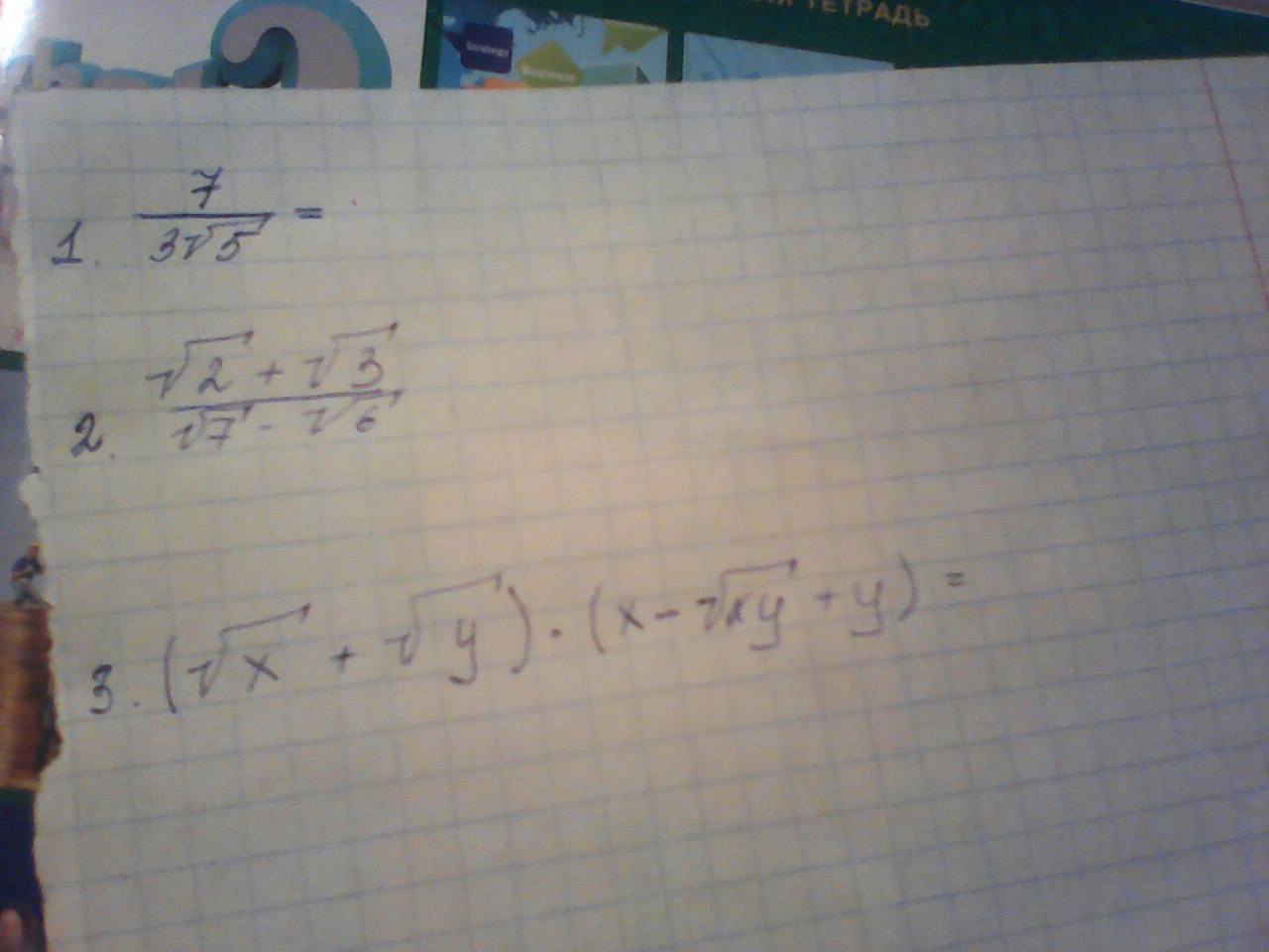
Помогите с решением.
Приложения:
Ответы
Автор ответа:
0
файл..........................
Приложения:
Похожие вопросы
Предмет: Биология,
автор: Аноним
Предмет: Литература,
автор: adelaermekova3
Предмет: Алгебра,
автор: sjsudg638
Предмет: Литература,
автор: alyazaya20044