Предмет: Алгебра,
автор: sh0ckerz77141
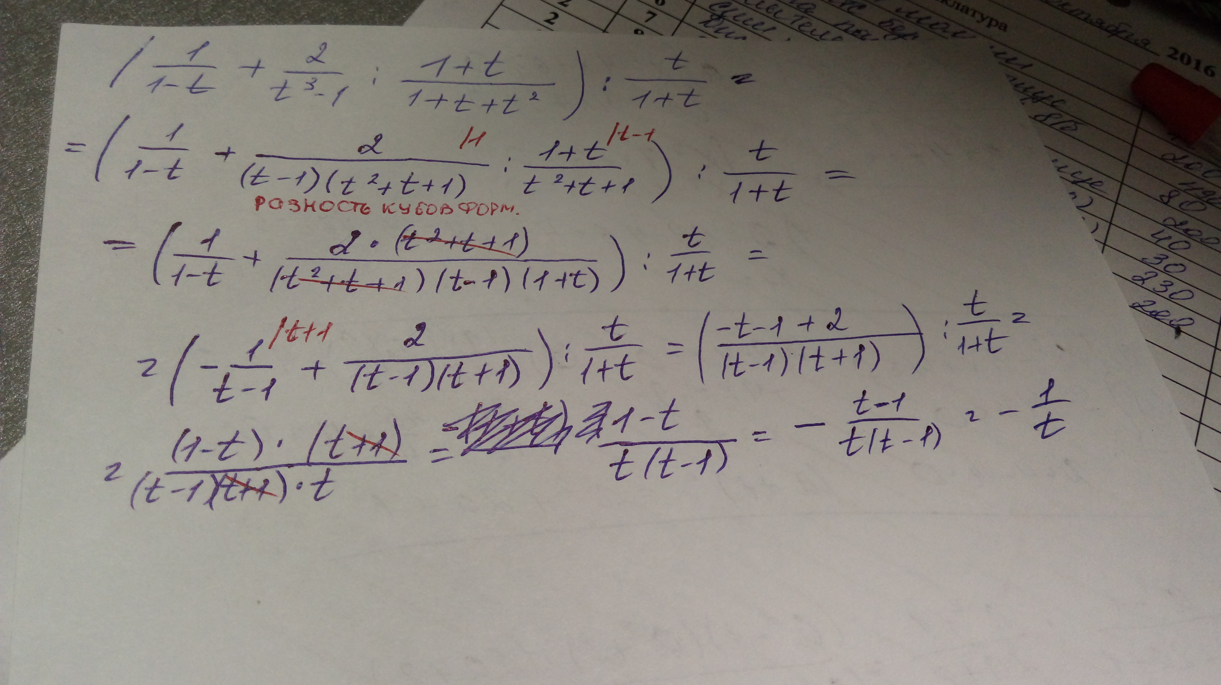
Упростите выражение.Картинка с заданием в низу
Приложения:
Ответы
Автор ответа:
0
решение смотри на фотографии
Приложения:
Автор ответа:
0
решение полностью описано на фото. Вроде как-то так...
Приложения:
Похожие вопросы
Предмет: Английский язык,
автор: wanex505
Предмет: Английский язык,
автор: Аноним
Предмет: Алгебра,
автор: VLADI505
Предмет: Алгебра,
автор: Аноним