Предмет: Алгебра, автор: daryashishkina

решите плиз, очень надо

Приложения:

Ответы

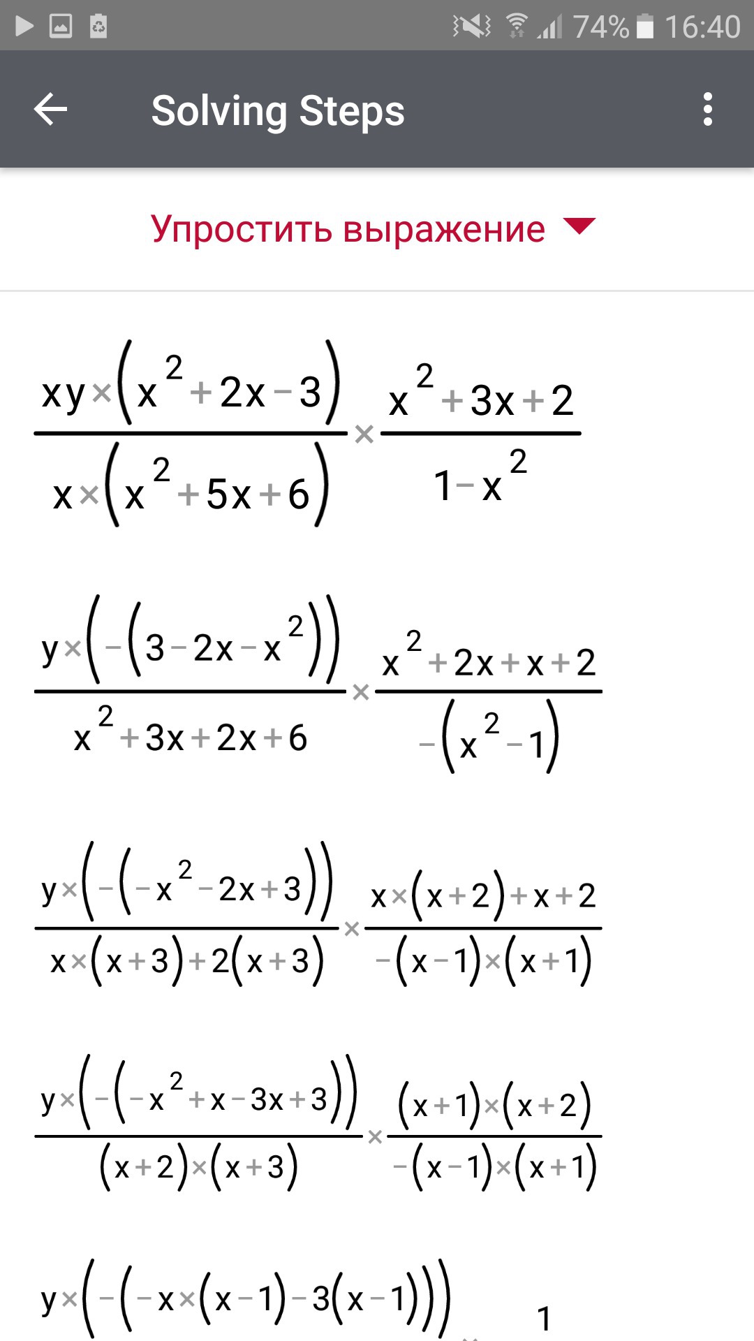
Автор ответа: Twailait
0
..........................Держи .....................
Приложения:
Похожие вопросы
Предмет: Українська література, автор: ditmisha
Допоможіть!20 балів
Зробіть будьласка план
Майже кожний вихідний ми проводимо в лісі, там у нашої родини є свої улюблені стежки.

Входячи до замріяного лісу, ми вітаємо знайомі дерева. Навіть дали імена деревам, що сподобалися нам. Віковий дуб-богатир має ім’я казкового царя Берендея, берізку назвали Снігуркою. А от стрункі ялинки-підлітки уздовж стежини до лісового озера одержали ім’я Подружки-Зеленушки.

Узимку дуб Берендей спить, але, коли доторкнешся рукою до його залізного стовбура, відчуєш, що кора тепла. У її складках знаходять притулок різні комахи. Вітер сухе дубове листя піднімає і заносить у ялинник. Воно, начебто новорічні прикраси, причаїлося у хвої ялинок Подружок-Зеленушок.

От ми й вирішили напередодні Нового року прикрасити Подружок-Зеленушок різнобарвним серпантином. Як же ми були вражені, коли, прийшовши в черговий вихідний до лісу, не побачили на звичному місці одну з Подружок-Зеленушок. Ялинку хтось зрубав... На пеньку лежала лише сумна сніжна шапка. Ми, звичайно, прикрасили серпантином ялинки, що залишилися.

Зажурені поверталися додому, купили в магазині невеличку ялинку в діжці. Вона ще така маленька, що прикрашати її ми не стали. Зиму вона проведе в нашій квартирі, а навесні ми віднесемо ялинку до лісу й посадимо замість зрубаного дерева. Буде Подружкам-Зеленушкам нова сестричка.
Предмет: Алгебра, автор: pavelvasilos31