Предмет: Химия, автор: sveta77780

Помогите пожалуйста, что тут не так?

Приложения:

Ответы

Автор ответа: Alexei78
0
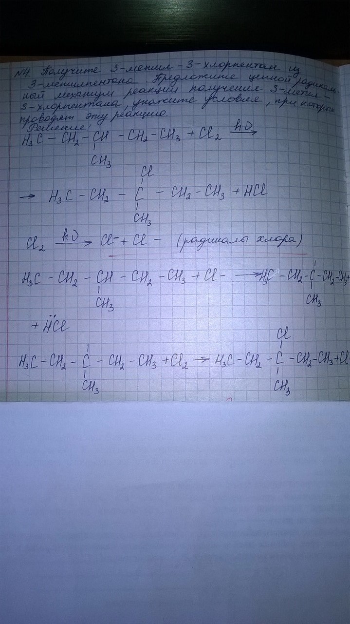
Самом конце не +CL a +HCL
                                                                  CL
                  |                                                |
CH3-CH2-C-CH2-CH3+CL2-->CH3-CH2-C-CH2-CH3+HCL
                 |                                                 |
                CH3                                           CH3

Похожие вопросы
Предмет: Математика, автор: Аноним