Предмет: Математика,
автор: трольпароль
ПОМОГИТЕ!!! Много баллов. Помогите с решением алгебраической дроби:) Если не сложно, то можно решение.
Приложения:
Ответы
Автор ответа:
0
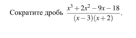
1) x^3 + 2x^2 - 9x - 18 = x^2( x + 2 ) - 9( x + 2 ) = ( x^2 - 9 )( x + 2 ) = ( x - 3 )( x + 3 )( x - 2 )
2) ( ( x - 3 )( x + 3 )( x - 2 )) / ( ( x - 3 )( x + 2 )) = ( x + 3 )
Ответ ( Х + 3 )
2) ( ( x - 3 )( x + 3 )( x - 2 )) / ( ( x - 3 )( x + 2 )) = ( x + 3 )
Ответ ( Х + 3 )
Похожие вопросы
Предмет: Математика,
автор: 77dR1WCLFfNj9QF
Предмет: Математика,
автор: D1panda
Предмет: Музыка,
автор: tomiriskalieva62
Предмет: Алгебра,
автор: Аноним
Предмет: Физика,
автор: DJ442