Предмет: Химия,
автор: Defferer
Химики есть? СРОЧНО НУЖНА ПОМОЩЬ
Приложения:
Ответы
Автор ответа:
0
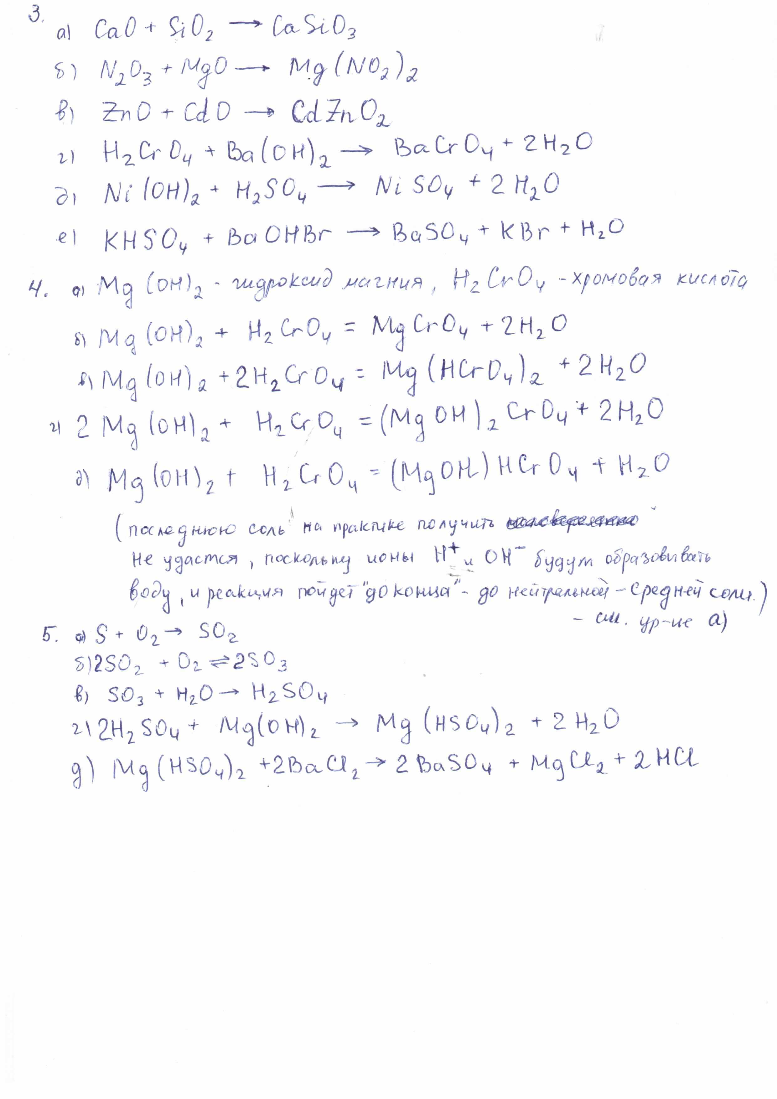
Ответ в графической форме
Приложения:
Автор ответа:
0
Хоть как-то помогло?
Автор ответа:
0
да,спасибо
Похожие вопросы
Предмет: Геометрия,
автор: Jiele1
Предмет: Қазақ тiлi,
автор: tanyakolyarasp
Предмет: Физика,
автор: evakrikun0
Предмет: Математика,
автор: ilaya
Предмет: Алгебра,
автор: zky333