Предмет: Алгебра,
автор: alinamalinachka
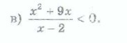
Помогите пожалуйста . ЭТО 9 класс неравенства
Приложения:
Ответы
Автор ответа:
0
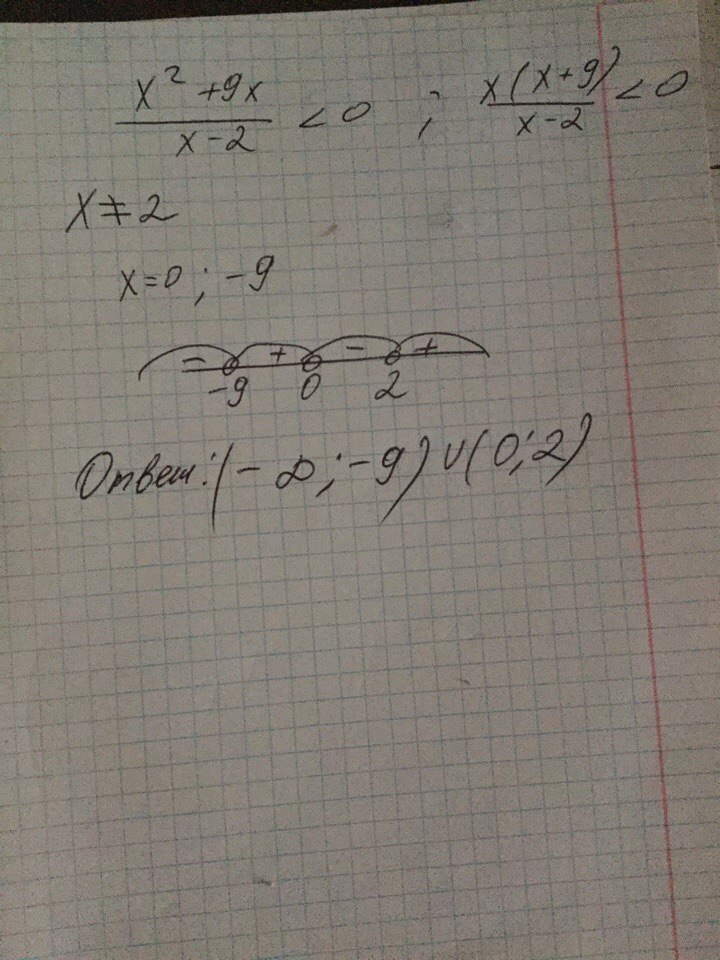
Вот. Оформление не очень, конечно :D
Приложения:
Автор ответа:
0
:D
Автор ответа:
0
или нет
Похожие вопросы
Предмет: Физика,
автор: leralunina22
Предмет: Українська мова,
автор: yusumin2020
Предмет: Литература,
автор: Ligasmile
Предмет: Биология,
автор: storozhevsasha